Kapittel 1: Regelverk om skadestabilitet
Lekkstabilitet (engelsk: damage stability):
Lekkstabilitet (engelsk: damage stability): Vi deler inn stabilitet i to kategorier: intakt og skadestabilitet. Med intakt stabilitet menes at fartøyet er uskadet, dvs. at hele skroget er intakt. Skadestabilitet er når et skip har vært utsatt for en ulykke slik som f.eks. en kollisjon med et annet fartøy eller en grunnstøting og skipet fylles med vann. Skipet kan synke på grunn av at det er fylling i så mange avdelinger (rom) om bord at det ikke er nok oppdrift til å holde skipet flytende, eller at det kantrer på grunn av mangel på stabilitet.
Det mest kjente tilfellet er RMS Titanic, som sank etter å ha gått på et isfjell i Atlanterhavet i 1912. Ulykken inntraff om kvelden 14. april kl. 23:40 (skipstid), og skipet sank tidlig om morgenen 15. april. Med sine 46 328 bruttotonn var Titanic på dette tidspunktet verdens største skip. Det er anslått at det var omtrent 2208 personer om bord, og at 1500 personer mistet livet. På den tiden ble antall livbåter tildelt etter skipets bruttotonnasje. Titanic hadde 20 livbåter med 1178 sitteplasser, som var mer enn kravet på 1060 sitteplasser. Da ulykken inntraff, så var det livbåtplass til halvparten av passasjerene og mannskapet, men skipet var langt fra fullbooket. Antall passasjerer om bord var om lag 1320, mens maksimum kapasitet var 2435 passasjerer. Lovbestemmelsen om antall livbåter (plasser) etter bruttotonnasje var fra 1894, og da var det et makstak for livbåter for skip med bruttotonnasje over 10 000.

Figur 0101 Titanic
Livbåter
Titanic var designet for å bære 32 livbåter, men dette tallet ble redusert til 20 fordi man følte at dekket ville være for rotete.
Selv over 100 år etter hendelsen så produseres det nye dokumentarprogrammer som tar for seg hva som skjedde. Hva kan ha medvirket til at ulykken inntraff, og at konsekvensene ble så store? I 2017 ble det oppdaget nye bilder som viser at Titanic hadde brennmerker på skutesiden på begge sider ved samme spant rett før jomfruturen. Brennmerkene er ved bunkerstank (kull) nr. 6, og der var det en kullbrann under prøveturen. Det var dette området av skroget på styrbord side som tok den største støyten ved kollisjonen med isfjellet. Det er store muligheter for at kullbrannen fortsatte etter prøveturen og fortsatt var i live da Titanic traff isfjellet. Stålet ble svekket av brannen, temperaturen som var trolig mellom 500 til 1000 grader celsius. Det ble rapportert av en fyrbøter at to timer etter kollisjonen så kollapset skottene i bunkerstank nr. 6, og han så tydelig at grønnsjø strømmet inn.

Figur 0102 Brennmerker på skutesiden.

Figur 0103 Tidsforløp fra kollisjonen til Titanic sank.
Man kan se på figur 0103 at nedsynkingen gikk fort fra 2 timer til 2 timer og 40 minutter (bratt kurve). RMS Carpathia (passasjerskip) ankom Titanics posisjon 1,5 timer etter at skipet hadde sunket. Hvis tidsforløpet hadde fulgt omtrent samme hastighet som det gjorde fra kollisjonen til 2 timer, så hadde RMS Carpathia ankommet tidsnok. Carpathia reddet 705 personer fra livbåtene. Det var få personer som fulgte med skipet ned, de fleste fikk på seg redningsvester, men det kalde vannet tok livet av dem, og de drev vekk fra området. Lasteskipet SS Californian slo stopp i maskinen på grunn av mange isfjell den 14. april kl. 22:20 (skipstid). Posisjonen til SS Californian er anslått til å ha vært 19 nautiske mil nord for der Titanic sank. Kapteinen ba radiostasjonen om å sende ut varsel om isfjell (telegrafi) kl. 22:20, men telegrafisten på Titanic holdt da på med en stor sending og ga beskjed om at han ikke ville bli forstyrret. Radiostasjonen på SS Californian ble slått av for natten etter at varselet var sendt ut, og oppfattet ikke nødmeldingene som Titanic senere sendte ut. Mannskapet på Californian så rakettene som ble sendt opp fra Titanic, men misoppfattet situasjonen og er blitt kritisert for sin mangel på handlinger, det er konkludert med at de ikke ville ha rukket frem tidsnok. Senere på natten da Californian ble gjort oppmerksom på Titanics nødsituasjon, så krysset de to ganger et islagt farvann for å søke etter overlevende.
Forandringene i lovverket etter Titanic-ulykken: Den internasjonale konvensjon om sikkerheten for menneskeliv til sjøs (SOLAS). Etter at Titanic sank, bestemte den britiske og amerikanske undersøkelseskomiteen at skip skulle ha nok livbåter til alle på skipet. Det skulle også være nødvendig med livbåtøvelser og inspeksjoner for å unngå en annen stor skipsulykke. Den første internasjonale konferansen om sikkerhet for menneskeliv til sjøs (SOLAS) ble samlet i London fra 23. november 1913 til 20. januar 1914. Konferansen besto av mer enn 100 representanter fra en rekke maritime land, inkludert Tyskland, Østerrike-Ungarn, Belgia, Danmark, Spania, USA, Frankrike, Storbritannia, Italia, Norge, Nederland, Russland, Sverige, Australia, Canada og New Zealand. For å løse de kompliserte sikkerhetsproblemene ble konferansearbeidet delt mellom seks komiteer: 1. radiotelegrafi, 2. navigasjonssikkerhet, 3. sertifikater, 4. konstruksjon, 5. revisjon og 6. redningsredskaper. Hvert utvalg var sammensatt av én eller flere delegater fra hvert av deltakerlandene. Etter sju uker signerte tretten land den 20. januar 1914 SOLAS-konvensjonen. Den ble ratifisert av bare fem nasjoner: Storbritannia, Nederland, Norge, Spania og Sverige. Mange land, inkludert USA, satte den ut av kraft (ratifikasjonsarbeidet) på grunn av begynnelsen av første verdenskrig. Som et resultat av dette trådte SOLAS-konvensjonen fra 1914 aldri i kraft som planlagt den 1. juli 1915. Radioloven av 1912: Denne loven krevde at alle sjøfartøyer skulle ha et 24-timers radiosystem på plass for å holde kontakten med andre skip på vann og kystradiostasjonene. I tillegg, etter gjennomgangen av denne loven, ble alle radiooperatører pålagt å få en lisens for å fremme operatørens troverdighet og ansvar. Internasjonal is patrulje: Først i 1914 ble den internasjonale is patruljen grunnlagt for å varsle alle sjøfartøyer som seilte i Europa, Canada og USA, om isfjell. I dag er det den amerikanske kystvakten som tar seg av den internasjonale ispatruljen.
Forbedring av konstruksjon
Forbedring av konstruksjon: Først skal vi se på grunnleggende betegnelser som inngår i skadestabilitet.

Figur 0104 Vanntette skott.
Figur 0104 viser en skisse av et skip som er inndelt med vanntette skott og skottdekk. Skipet har dypgående ved sitt sommerdeplasement.

Figur 0105 Grenselinje.
Figur 0105 viser grenselinje. Grenselinjen er 76 mm under skottdekket og er ment som en sikkerhetsmargin.

Figur 0106 Fyllingslengde (floodable length).
Figur 0106 viser en fyllingslengde. Med fyllingslengde menes hvor stor lengde av skipet som kan fylles for at skipet synker til grenselinjen. Med fylling så menes fra babord til styrbord side og opp til skottdekket. Dette skipet er et såkalt 1-avdelingsskip, det vil si at det tåler skade i en avdeling uten at det synker. Fyllingslengden viser lengden av en avdeling.

Figur 0107 Tegne en fyllingslengdekurve.
Figur 0107 viser ett punkt på en fyllingslengdekurve. Hvis man stiller seg i senter av en fyllingslengde og tar den gule horisontale lengden, snur denne seg slik at den blir vertikal med samme lengde. Tegner inn et punkt der denne ender. Dette punktet vil sammen med flere danne en fyllingslengdekurve.

Figur 0108 Punkter til fyllingslengdekurven.
Figur 0108 viser alle punktene til en fyllingslengdekurve. Den vil ha sin største høyde midtskips, forre og aktre del er lavere på grunn av trimendringen det medfører. Den får et oppsving helt forrest og akterst på grunn av at skipet er smalere her.

Figur 0109 Fyllingslengdekurve.
Figur 0109 viser en heltrukken fyllingslengdekurve.

Figur 0110 Fyllingslengde med alle avdelinger.
Figur 0110 viser situasjonen til et 1-avdelingsskip som har fylling. Skissen viser når skipet har fylling i hver enkelt avdeling og ikke i alle samtidig. Her er det god margin.

Figur 0111 Fylling i to avdelinger.
Figur 0211 viser når et 1-avdelingsskip får fylling i to avdelinger. Det vanntette skottet mellom avdeling 4 og 5 er tatt bort for å illustrere det tydeligere. Skipet vil synke med fylling i to avdelinger (som det fremgår av skissen).


Figur 0112.
Figur 0112 viser to tilfeller av fylling. Den øverste viser fylling i én avdeling. Dette er et 1-avdelingsskip. Den nederste viser fylling i to avdelinger (lasterom), og det går ikke bra.

Figur 0113 Fyllingslengdekurve med forskjellige permeabilitetskurver. Type skip: 1-avdeling.
Figur 0113 viser en fyllingskurve med forskjellige permeabilitetskurver for 1-avdelingsskip. Permeabilitet er fyllingsgraden av hvor mye i prosent et rom på et skip kan være fylt opp med vann. Det blir i volum opp til grenselinjen eller ved det aktuelle dypgående. Tidligere gjaldt disse: Lasterom og storesrom: 60 %, Oppholdsrom: 95 %, maskinrom: 85 %. Etter Solas 2009 ble det noen forandringer som blir forklart senere. Grunnleggende for lekkstabiliteten, om den beregnes deterministisk eller probabilistisk, er permeabilitet.
Hvor stor permeabiliteten er, vil avhenge av hvor mye volum som allerede er opptatt av for eksempel last eller utstyr i rommet. Permeabilitet lik 100 % vil si at hele rommet kan fylles av vann.

Figur 0114 Oversikt over vanntette skott på Titanic.
Figur 0114 viser en skisse med de vanntette skottene på Titanic. Titanic hadde 16 avdelinger, men ikke skottdekk. Skipet kunne tåle fylling i fire avdelinger, men uten skottdekk så fyltes to avdelinger til. Det ble de seks første avdelingene som ble fylt. I ettertid har forskning vist at Titanic var mer et 3-avdelingsskip enn 4.
Forskjellige typer avdelingsskip. «Avdeling» på engelsk er compartment, som forkortes med CS.

Figur 0115 Skisse av skip.
Figur 0115 viser en skisse av et lasteskip. Den grønne horisontale linjen er skottdekket, og den blå horisontale linjen er dypgående ved sommerdeplasement.

Figur 0116 Skisse med grenselinje.
Figur 0116 viser et lasteskip med grenselinje som er tegnet med en rød horisontal linje.

Figur 0117 skisse av de forskjellige fribordene.
Figur 0117 viser et lasteskip med de forskjellige fribordene. Det oransje er fribord sommer, mens det røde er grenselinje fribordet (76 mm). Det oransje fribordet er tillatt tapt fribord.

Figur 0118 Skisse av en fyllingslengde.
Figur 0118 viser et lasteskip med en fyllingslengde.

Figur 0119 En fyllingslengde delt i to.
Figur 0119 viser et lasteskip som har en fyllingslende delt i to (oppdelingsfaktor).

Figur 1220 En fyllingslengde delt i fire.
Figur 1220 viser et lasteskip som har delt en fyllingslengde delt i fire (oppdelingsfaktor).
Avdelingsskip blir inndelt i flere standarder: Type 1, 2 og 4 avdelingsskip. Oppdelingsfaktor ved inndeling: 1 / type avdelingsskip (som blir lik 1 eller mindre enn 1). Tillatt lengde imellom vanntette skott blir = faktor inndeling × fyllingslengden. Faktor inndeling blir = 1/1 blir type 1, 1/2 blir type 2, og 1/4 blir type 4. For lasteskipet ovenfor så er fyllingslengden = 15 meter. Tillatt lengde mellom vanntette skott for type 1 skip = 1 × 15 meter = 15 meter, tillatt lengde mellom vanntette skott for type 2 skip = 0,5 × 15 meter = 7,5 meter, tillatt lengde mellom vanntette skott for type 4 skip = 0,25 × 15 meter = 3,75 meter. En generell regel ble at jo lengre skipene var, eller jo flere passasjerer det hadde, så fikk de større oppdelingsfaktor.
SOLAS 1929 og SOLAS 1948
SOLAS 1914 trådte aldri i kraft, men en stor del av den ble overført til den neste konvensjonen. SOLAS 1914 dreide seg mest om passasjerskip, og her skulle lasteskip assistere disse i nødsituasjoner. I Solas 1929 var lasteskip tatt med i flere faser, men siden SOLAS 1914 ble overført til 1929, så gikk denne litt glipp av den teknologiske utviklingen. I 1914 var det kull som ble brukt til fremdrift, kulltankene var plassert og utformet slik at de gikk fra babord til styrbord side. Hvis de fikk en fylling, så ble det en symmetrisk fylling, det vil si at skipet ikke krenget. Fra 1924 ble det mer og mer vanlig at olje ble brukt til fremdrift, og oljetankene var plassert på hver sin side på skipet. Hvis et skip for eksempel kolliderte og fikk skade med fylling i en bunkerstank, så medførte det som oftest at det ble krengning. SOLAS 1929 trådte i kraft i 1936 og var mye rettet mot nye passasjerskip som ble bygget etter 1. juli 1931. SOLAS 1929 medførte ingen krav til skadestabilitet, men videreførte kravene fra SOLAS 1914 med fyllingslengdekurvene, antall avdelinger, oppdelingsfaktor og så videre. Fokuset var å sette av krav på vanntett integritet, strukturelt brannvern, brannmotstand av skott over skottdekket for å skape hovedvertikale soner. Konvensjonen innførte også at krav til et skip vedvarte helt til skipet ble skrotet.
SOLAS 1948: Den teknologiske utviklingen hadde vært stor siden 1929. Skadelengde (langskips) ble definert som 3 % av skipets lengde pluss 3,05 m (10 fot). Tverrskips: 20 % av skipets bredde (B/5), vertikal: Fra tanktopp opp til grenselinjen. Solas 1948 innførte grenselinjen på 76 mm (3'). Positiv GM hvis det var symmetrisk fylling og negativ GM, kunne tillates dersom krengevinkelen var mindre enn 7°. Usymmetriske fylling: Her var det anbefalt at disse måtte være mindre enn 7°, de kunne være 15° hvis det var opplegg for kryssfylling (se figur 0221), forutsatt at et sånt opplegg var godkjent av regjeringen i landet som skipet var registrert i. SOLAS 1948 trådte i kraft i januar 1953. I 1948 ble FN dannet i Genève, og det ble bestemt at en internasjonal sjøsikkerhetsorganisasjon skulle dannes under FN. Det tok ti år før alt var klart, og i 1958 var IMO på plass.

Figur 0121 Kryssfylling.
Figur 0121 viser et opplegg til kryssfylling (duct = «rør»). Usymmetrisk fylling forårsaker større krengningsvinkler, og dette må kompenseres for med et utjevningsopplegg med kryssfylling.
S/S Andrea Doria
I juli 1956 kollidere passasjerskipet S/S Andrea Doria med passasjerskipet M/S Stockholm ved kysten av Massachusetts. M/S Stockholm, som var is-klasset, fikk hull i baugen, men holdt seg flytende uten krengning, mens Andrea Doria fikk skade på styrbord side, fremme på skipet. 46 av de totalt 1706 personene som var om bord på Andrea Doria, mistet livet. Fem personer på Stockholm mistet også livet. Andrea Doria sank etter elleve timer, men takket være en enestående redningsaksjon så ble tapet av menneskeliv minimalt. Andrea Doria var konstruert til å tåle usymmetrisk fylling opp til 15 grader list (SOLAS 1948-krav), men under fem minutter etter kollisjonen så hadde Andrea en list til styrbord på litt over 20 grader. Maskinistene innså veldig raskt at de ikke kunne rette opp skipet, livbåtene på babord side kunne ikke låres på grunn av for stor list til styrbord. Livbåtene på styrbord side kunne bare imøtekomme 1004 personer (av 1706 totalt). Nødmeldingene gikk raskt ut til andre fartøyer.

Figur 0122 Andrea Doria.
Figur 0122 viser Andrea Doria etter kollisjonen.
SOLAS 1960: IMO ble dannet i 1958 og tok straks fatt på en ny konvensjon. Det var ønskelig med en ny konvensjon istedenfor å rette på 1948-konvensjonen. Solas 1960 holdt på krav til konstruksjon fra de tidligere konvensjonene, og i tillegg kom: I tilfelle usymmetrisk fylling så skulle kryssfyllingen være komplett innen 15 minutter. Krav til GM ved usymmetrisk fylling ble 0,05 m. Maksimum list på 7 grader, men 15 grader med et godkjent system for kryssfylling. SOLAS 1960 trådte i kraft i 1965.
Deterministisk metode
Hva skjer med et skip som har fått skade etter for eksempel en kollisjon? Tap av volum under vannlinjen, dypgående økes, fribord minkes, forandring i trim eller i list. Det vil bli forandring i stabiliteten til skipet. Her er det to metoder som blir benyttet: tapt oppdrift- metoden og tilført vekt-metoden. Begge disse metodene blir gjennomgått senere, de kommer under betegnelsen: deterministiske beregninger. Deterministisk kommer av det engelske ordet to determine = «å bestemme». Hvis et skip skal foreta en sjøreise og vi vet distanse, skipets hastighet, vind og strøm, da kan vi forutse forløpet ved hjelp av kjente lover fra fysikken og kan beskrive det som skjer presist, for eksempel ved å bruke uttrykk fra matematikken til å anslå ankomsttid. Det som skjer, kan kalles deterministisk, resultatet er gitt fra betingelsene. Kjenner man til alle egenskaper ved ett tidspunkt, så kan man forutsi alle egenskaper ved et senere tidspunkt. Krav til stabilitet med et begrenset antall skadede avdelinger. Beregningene er basert på standard dimensjon av skade som strekker seg overalt langs skipets lengde eller mellom tverrgående vanntette skott, avhengig av de relevante kravene. Det deterministiske konseptet er basert på gitte skadeforutsetninger (skadelengde, tverrgående utbredelse, vertikal utstrekning). Avhengig av skipstype, antall passasjerer eller potensiell risiko for miljøet av lastebåt, overholdelse av regelverk sitt krav til avdelinger. I tilfeller med tankskip: Det store utvalget av produkter (stoffer) som skal transporteres, og deres fordeling i skipet krever en omfattende, systematisk analyse for å få så mange tillatte lastinger som mulig. Generelt er det bare disse lastebetingelser som er tillatt. Ulike deterministiske metoder i skadestabilitet er utviklet avhengig av skipets type. I den deterministiske metoden blir et skip ansett som mer sikkert hvis det har større oppdelingsfaktor.
«Helge Ingstad»
Hvis man ser på skadeomfanget til fregatten «Helge Ingstad» etter kollisjonen med tankskipet MT Sola TS i november 2018 så har «Helge Ingstad» en lengde på 134 meter og fikk en flenge (skade) på styrbord side som var om lag 45 meter lang, så det ville ikke ha spilt noen rolle hvor stor oppdelingsfaktor «Helge Ingstad» hadde hatt, fordi skipet ville ha vært fortapt uansett.

Figur 0123 Flengen til Helge Ingstad.
Figur 0123 viser en skisse med flengen til fregatt «Helge Ingstad».
Ulykken med S/S Andrea Doria i 1956 ga en økende bevissthet om at endringene i skipsdesign hadde gjort at noen av beregningsprinsippene i SOLAS-29/48/60 var utilstrekkelige med hensyn til sikkerhet etter fylling. På SOLAS-konferansen i 1960 sendte flere land inn forslag til endringer i skadestabilitetsforskriftene i konvensjonen, men disse forslagene ble ikke akseptert på konferansen. Imidlertid så ble det på SOLAS 1960 bestemt at det skulle dannes underkomiteer som skulle jobbe med forbedringer til regelverket, slik som skadestabilitet og farlig last med mer. I 1962 var de fleste underkomiteer klar, og underkomiteen som i dag er kjent som SDC (Ship Design and Construction), men tidligere var kjent som SLF (Stability, Loadline and Fishing) inntil 2013, ga følgende anbefaling: Forskriftene i SOLAS 1960 tar ikke hensyn til det faktum at for et gitt skillearrangement (vanntett skott) kan ganske forskjellig omfang av fylling oppstå som et resultat av varierende skadelengde. Metoden som brukes i SOLAS 1960, tar ikke fullstendig hensyn til virkningene av fartøyforhold, drift ved tilstander mindre enn full last tilstand, variasjoner i permeabilitet eller av stabilitet etter fylling, disse var ikke gode nok når det gjaldt sikkerhet. Disse og noen andre mangler i forskriftene i SOLAS 1960 fører til en feil estimering av skipets sikkerhet. Spesielt den metoden som betraktet to skip til å være like trygge hvis de hadde samme verdi av oppdelingsfaktor selv om disse to skipene kunne ha ganske forskjellige faktiske evner til å tåle skade.
RO-RO-skip
På denne tiden kom det en ny generasjon ferger som ble betegnet som RO-RO. RO-RO er forkortelse for «Roll-on Roll-off», som er beskrivelsen av hvordan lasten lastes og losses på/fra et RO-RO-skip. Dette betyr ganske enkelt at lasten ruller på eller av skipet, i motsetning til å bli løftet om bord med kraner.

Figur 0124 RO-RO-skip/RO-RO-ferge.
Figur 0124 viser en skisse av et RO-RO-skip / en RO-RO-ferge som ikke hel tversgående vanntette skott fra side til side.
Disse fergene kunne ikke betraktes som om de hadde kontinuerlige vanntette skott fra side til side, og det kunne ikke betraktes som vanntett oppdeling (avdelinger) under skottdekket. Det ble nesten umulig å få disse godkjent under de deterministiske regelkravene.
Probabilistisk metode
I april 1960 beskrev en tysk professor en alternativ metode for å vurdere skadestabilitet basert på bruk av skadestatistikk. Han hadde som mål å introdusere en mer rasjonell metode for å vurdere sannsynligheten for overlevelse for et skip i tilfelle av skade (hull i skrog) ved kollisjon eller grunnstøting. I tillegg introduserte han en ny vurderingsmetode som tillot definisjonen av et globalt sikkerhetsnivå som stabilitetskjennetegn ved skip av forskjellig størrelse og type kunne kvantifiseres i. Dette ble forelagt for SDC-underkomiteen like etter 1962, men det ble ikke foretatt seg noe da, i 1968 begynte komiteen å jobbe videre med denne metoden. Hovedformålet var å gi et alternativ til SOLAS 1960-forskriftene for RORO-ferger med store lasterom under skottdekket.
Sannsynlighet
Hva er sannsynlighet?
Dersom man kaster en mynt, skal det i prinsippet være like stor sjanse for å få mynt som for å få kron (ser bort fra muligheten av at mynten kan lande på høykant, uten å vise noen av delene). Man kan godt si at mulighetene er femti-femti. I dagligtalen mener man da vanligvis at det er like stor sjanse for å få det ene som det andre. I matematikken brukes uttrykket som at man har to mulige utfall, og at man har 50 % sannsynlighet for hvert av tilfellene. 100 % kan erstattes med tallet 1. Da kan man også si ved et myntkast at hvert av utfallene har sannsynlighet 0,5.
Noen enkle oppgaver på sannsynlighet:
Oppgave 1

Oppgave 2

Oppgave 3

Oppgave 4

Fasit på enkle oppgaver i sannsynlighet:
Oppgave 1: umulig
Oppgave 2: sjelden
Oppgave 3: halvparten
Oppgave 4: liten sjanse.
Statistisk sannsynlighet
Statistiske sannsynlighetsmodeller settes opp på grunnlag av mange forsøk, gjerne mange tusen. Deretter regner man med at den relative frekvensen for utfallene representerer virkeligheten, og man bruker dette som en statistisk sannsynlighet for de mulige utfallene. For en vanlig symmetrisk spillterning er sannsynligheten for hvert av utfallene 1, 2, 3, 4, 5 og 6 lik 1/6 som blir ≈ 16,7 %. Men så viser det seg at noen har laget en jukseterning ved å feste en liten ekstra vekt på siden med verdien 1. Da er det større sannsynlighet for å få verdien på den motsatte siden, nemlig 6, siden terningen oftere vil lande med verdien 1 mot underlaget, og det er mindre sannsynlighet for å få verdien 1. Av 10 000 kast med jukseterningen ble resultatene:
| Verdi | Antall tilfeller |
|---|---|
| 1 | 31 |
| 2 | 1009 |
| 3 | 1631 |
| 4 | 1369 |
| 5 | 1008 |
| 6 | 4952 |
For ideelle terninger er altså sannsynligheten for å få hver av verdiene 1, 2, 3, 4, 5, 6 lik 16,7 %. For jukseterningen er sannsynlighetene forandret. Man har ikke mulighet til å forutsi disse sannsynlighetene teoretisk. Terningen har ikke lenger en homogen vektfordeling. I slike tilfeller må man nøye seg med å bruke den relative frekvensen for terningverdiene ved mange kast som et mål for sannsynlighetsfordelingen for den vektede terningen.
Hvis man tar antall tilfeller for hver enkelt verdi og så deler disse hver for seg med totalt antall kast (10 000 kast).
| Verdi | Relativ frekvens |
|---|---|
| 1 | 0,31 % |
| 2 | 10,09 % |
| 3 | 16,31 % |
| 4 | 13,69 % |
| 5 | 10,08 % |
| 6 | 49,52 % |
Viktig med statistiske sannsynlighetsmodeller
Det som er veldig viktig med sånne statistiske sannsynlighetsmodeller, er at det må gjennomføres mange forsøk, gjerne flere tusen, for da kan man regne med at den relative frekvensen representerer virkeligheten. Da kan man bruke resultatet som en statistisk sannsynlighet innenfor emnet.
SOLAS 1974. Det ble bestemt at denne konvensjonen skulle bestå for fremtiden, og endringer skulle komme som tillegg istedenfor å erstatte denne. SOLAS 74 trådte i kraft i mai 1980, og skadestabilitetsreglene ble videreført fra SOLAS/29/48/60, selv om den probabilistiske metode ble fremlagt i 1973 for IMO av underkomiteen.
Den probabilistiske metode og veien videre
Bruker skadestatistikk til å vurdere effektiviteten til skipet (underavdelingene). Ingen stabilitetsgrenser. Bestemme sannsynlighet for overlevelse er at skipet er «akseptabelt» hvis det kan overleve en tilstrekkelig mengde sannsynlige skader.
Sannsynligheten for at en gitt forekomst forekommer, er vanligvis representert ved et tall fra 0 til 1, hvor 0 betyr usannsynlig og 1 betyr sikkert.
Sannsynligheten for at en hendelse oppstår og dets komplement (et produkt som tilfører verdi til et annet produkt.) må plusse på opp til 1, så hvis man lar pi representere sannsynligheten for at en hendelse vil skje, så vil sannsynligheten for at hendelsen ikke skjer være 1 – pi.
Den sammensatte sannsynligheten for at to hendelser skjer, er gitt som produktet av sannsynlighet for en av dem og sannsynligheten for den andre, betinget av den første. Med andre ord, hvis sannsynligheten for at hendelsen oppstår er representert av pi og det sannsynlige resultatet, eller konsekvens av hendelsen, er representert av si, så er felles sannsynligheten p1s1.
En total sannsynlighet kan tas som summen av sannsynligheter for alle hendelser, det vil si det sannsynlige resultat O av alle n hendelser som muligens forekommer, kan gis skjemaet
O = p1s1 + p2s2 + ... + pnsn, hvor O må være lik eller mindre enn kravet.
Litt enkelt sagt så dreier denne metoden seg om at kravene til skadestabilitet kan anse at skipet overholder regelverket dersom det vil være i stand til å overleve en skade med for eksempel kollisjon med et annet fartøy. Metoden er basert på statistikk, og skadescenarioene i det probabilistiske konseptet antas å være langt mer realistiske enn den tidligere «deterministiske» metoden som brukes i SOLAS-29/48/60/74, der standardoppdelingene og stabilitetsstandarden er basert på teoretiske prinsipper og mer eller mindre vilkårlig utvalgte akseptkriterier. En slik metode trenger ikke å stole på forhåndsdefinerte skadeforutsetninger, og det ble innsett at dette var en passende måte å erstatte fyllingslengdekonseptet til SOLAS-29. Dette ville være gunstig for fremtiden med tanke på utforming av RO-RO-passasjerferger. Det skulle ennå gå noen år fra 1974 til at den probabilistiske metoden fikk innpass i SOLAS konvensjonen.

Figur 0125 Probabilistisk metode.
Grunnlaget for den probabilistiske metoden er at sannsynligheten for at et skip forblir flytende uten å synke eller kantre som et resultat av en vilkårlig kollisjon i en gitt langsgående posisjon av skipet, hovedsakelig vil avhengig av følgende vurderinger:
Sannsynligheten for at lengdesenteret av skaden oppstår i bare skipets område, sannsynligheten for at denne skaden har en lengdegrad som gjør at den er mellom de tverrgående vanntette skottene som finnes i denne delen av skipet. Sannsynligheten for at skaden har en vertikal utstrekning som bare gjelder for rommet innenfor de vanntette skottene og under et horisontalt dekk, for eksempel skottdekket. Sannsynligheten for at skaden har en tverrskips inntrengning ikke er større enn avstanden til et gitt langsgående skott. Sannsynligheten for at den vanntette integriteten og stabiliteten etter en fyllingsekvens fortsatt er tilstrekkelig til å unngå kantring eller at skipet synker. De to første faktorene er bare avhengig av skipets vanntette arrangement, mens de to siste er avhengig av skipets form. Den siste er også avhengig av skipets lastetilstand.
Eksempler:
1 avdeling

2 avdelinger

3 avdelinger


Så, hvis man beregner sannsynligheten for forekomst for hver av skadescenarioene som skipet kan være utsatt for i henhold til statistikken, og deretter beregner sannsynligheten for å overleve hver av disse skader med skipet lastet i de mest sannsynlige lastekondisjoner, finner vi en samlet sannsynlighet for at dette bestemte skipet vil overleve en vilkårlig kollisjon. Denne sammensatte sannsynligheten er vanligvis referert til som «oppnådd overlevelsesindeks» A. Et regelkrav kan enkelt brukes ved å kreve en minimumsverdi på A for et bestemt skip.
Denne minimumsverdien blir vanligvis referert til som nødvendig overlevelsesindeks R. Kravene er tilfredsstilt når A ≥ R.
Fordeler og ulemper med probabilistisk metode sammenlignet med deterministisk metode
Den deterministiske metode ved skadestabilitet vil typisk bestå av gjeldende skadelengde, hvilke underavdelinger som har fått fylling, og om stabiliteten holder seg innenfor kravet etter skade. Disse faktorer vil generelt være basert på erfaring, forskning og i noen tilfeller skadestatistikk, men forskriftene vil beskrive en «svart og hvit» verden hvor man enten er innenfor eller ikke. Deterministiske skadestabilitetsforskrifter vil uunngåelig styre designet, siden det normalt vil være nødvendig å optimalisere skipets underavdelinger for å overholde regelverket. Fordelen med den probabilistiske metoden er mer frihet i design sammenlignet med deterministiske regler. Langskipsskott trenger ikke å plasseres på bestemte plasser for å imøtekomme B/5-kravet. Mindre penetrasjon er akseptabelt så lenge den samlede oppnådde A-indeksen er tilstrekkelig høy. Skader som overstiger gamle deterministiske grenser, som en B/5-penetrasjon, vil ikke hindre at man oppnår tilstrekkelig underavdelingsindeks A. Delvis eller manglende overholdelse av overlevelseskriteriene er akseptabelt for noen skadefeil så lenge det totale sikkerhetsnivået oppnås (A >R). Lukkede volumer i høyere deler av skipet kan betraktes som effektive hvis det er sannsynlig at de vil forbli intakte etter skade. Tverrgående skott trenger ikke å strekke seg fra side til side som i deterministiske passasjerskipregler. På den annen side er den probabilistiske metoden følsom for størrelsen og innholdet i den statistiske sannsynlighetsmodellen som utvikler sannsynligheten. I en sammenheng med skadestabilitet så kan man innse at et samlet sett med formler som dekker hver skipstype, ikke vil være mulig å dekke så lenge det er bestemte skipstyper, konstruksjoner eller driftsformer som ikke er tilstrekkelig representert i statistikken. Høyhastighetsfartøy er et eksempel på dette. Den generelle rammen vil forbli gyldig, men å skreddersy formler for sannsynlighetene kan være nødvendig, eller det kan bli nødvendig å bruke det deterministiske regelverket i anskuelig fremtid. Den probabilistiske metoden lider også av en misforstått oppfatning av konseptet. For allmennheten vil oppfatte det som «trygt» at et passasjerskip er i stand til å motstå en fylling av ett eller to tilstøtende avdelinger, uansett hvor liten sjansen er for at skaden vil være til tilfeller der designet spiller inn. I sannsynlighetsmetoden kan små skader med lav sannsynlighet for allmennheten for skade bli neglisjert selv om utfallet er katastrofalt.
Andre parametere som ikke er inkludert i skadestatistikken, som lastetetthet og permeabilitet, er nesten umulig å representere på en sann probabilistisk måte.
M/S Herald of Free Enterprise
RO-RO-fergen «Herald of Free Enterprise» kantret i havnebassenget i Zeebrugge i mars 1987, 193 personer omkom. Fergen forlot terminalen med baugporten i åpen stilling, og på grunn av forlig trim, grunt farvann og høy hastighet så ble det stor squat-effekt. Det medførte at bildekket ble fylt med vann, og fergen kantret på grunn av negativ stabilitet. Heldigvis ble den liggende på en sandbanke som forhindret at den kantret helt rundt, tapstallet ville nok ha vært mye større hvis det skulle ha skjedd (539 personer om bord).

Figur 0126 Herald of Free Enterprise.
SOLAS 90
Da ulykken med «Herald of Free Enterprise» skjedde, så var IMO i gang med forbedringer av de deterministiske stabilitetskravene for passasjerskip. Denne hendelsen fremskyndet prosessen, og de utvidede stabilitetskriteriene, kjent som SOLAS 90, ble vedtatt i 1988 og trådte i kraft i april 1990. Blant konklusjonene fra undersøkelsene utført av Storbritannia etter denne ulykken var at modelltesting av skadede RO-RO-passasjerskip etter SOLAS 1960 var utilstrekkelig med hensyn til skadestabilitet, mens de nye SOLAS 90-kriteriene vil gi et rimelig sikkerhetsnivå i moderat sjø. Etter flere viktige og store diskusjoner ble IMO-medlemmene enige om at innføring av en tilbakevirkende oppgradering av RO-RO-passasjerskip var nødvendig. Denne ordningen skulle være basert på en trinnvis tilnærming der skipene med lavest grad av tilnærming til SOLAS 90 skulle oppgraderes først. Deterministiske kriterier for sluttfasen av fylling, GZ-kurveutstrekning > = 15 deg, areal = 0,015 meterradianer, GZ maks rettende arm > = 0,1 m, maksimal list på 7 grader (1 avdeling) (12 grader for 2- og 3-avdelingsskip). Deterministiske kriterier for mellomliggende stadier ved fylling, GZ max > = 0,05 m utstrekning 7 grader. For RO-RO med 400 passasjerer og mer ble den probabilistiske metoden innført. De viktigste probabilistiske elementene (den gang) var faktorene 'A', 'p', 'r' og 's'.
'A' er en faktor som estimerer sannsynligheten for skader som oppstår i separate posisjoner i skipets lengde. I Solas 1990 ble det innført strengere krav til A som RO-RO-passasjerskipene måtte innfri innen en tidsperiode (2005), og hvis de ikke gjorde det, ble de tatt ut av tjeneste.
'p' er en faktor som estimerer sannsynligheten av den langsgående utbredelsen av skaden.
'r' er en faktor som anslår sannsynligheten for graden av penetrasjon fra skipssiden (denne faktoren er bare relevant der langsgående underoppdeling tas i betraktning); og 's' er en faktor som er et mål for overlevelsessannsynlighet.
Når s = 0, betyr dette at det ikke er noe tilførsel til indeksen 'A' for skadefasen som vurderes. Når s = 1, betyr dette at alle betingelsene for overlevelse gitt av de angitte reststabilitetskriteriene er fullt oppfylt.
I tillegg ble det krav til vanninntrengingsindikatorer på bildekk, at alarm skulle bli utløst på skipsbroen, samt at baugporten måtte kunne betjenes fra broen også.

Figur 0127 Stabilitetskrav i diverse Solas-konvensjoner.
SOLAS 1948: GM større enn 0 ved symmetrisk fylling, kunne være negativ ved usymmetrisk fylling på mindre enn 7 grader, usymmetrisk fylling kunne være 15 grader hvis det var opplegg for kryssfylling.
SOLAS 1960: GM større enn 0,05 m ved symmetrisk fylling, kunne være negativ ved usymmetrisk fylling på mindre enn 7 grader, usymmetrisk fylling kunne være 15 grader hvis det var opplegg for kryssfylling, med krav om at den skulle være komplett (kryssfylt) innen 15 minutter.
SOLAS 1990 (1974-konvensjon): For passasjerskip: i sluttfasen av fylling (GZ-kurve til venstre), GM større enn 0,05 m ved symmetrisk fylling, maksimum list 7 grader ved 1-avdelingsskip, 12 grader for 2- eller 3-avdelingsskip, usymmetrisk fylling skulle unngås med hjelp av kryssfyllingsopplegg krav innen 15 minutter. GZ-kurveutstrekning > = 15 deg, GZ maks rettende arm > = 0,1 m, areal = 0,015 meterradianer, med Φ maks 22 grader ved 1 avdeling og 27 grader ved 2- eller 3-avdelingsskip. GZ-kurve til høyre viser krav til det mellomliggende stadiet: utstrekning 7 grader og GZ Max >=0,05 m.
Den probabilistiske lasteskipsreguleringen, 1985–1998
Siden 1980 hadde IMO dekket sine krav til skadestabilitet til oljetankskip igjennom MARPOL, kjemikalietankskip igjennom IBC-koden (International Bulk Chemical Code), gasstankskip igjennom IGC-koden (International Gas Carrier Code), men tørrlasteskipene hadde falt utenfor. Et forslag for tørrlasteskip på 100 meters lengde og lengre var ferdigstilt i 1988. Den endelige teksten ble vedtatt i 1990, og forskriftene trådte i kraft i februar 1992. Denne Solas-endringen innførte en ny del i kapittel II-1, og kravene til skadestabiliteten var basert på det probabilistiske konseptet. Det som var helt nytt i lasteskipsreglene, var introduksjonen av sannsynligheten for at en horisontal underavdeling forblir intakt, noe som er en viktig designfunksjon i for eksempel car carrier-skip (bilskip). I 1996 ble grensen for fraktskipsreguleringen senket til 80 meters lengde, og denne trådte i kraft i juli 1998.

Figur 0128 RO-RO-lasteskipet M/S Tønsberg.
RO-RO-passasjerskip revidert
Etter katastrofen med M/S Estonia i september 1994 (852 av totalt 989 personer omkom) ble spørsmålet om sikkerheten til RO-RO-passasjerferger reist, noe som derfor igjen ble satt på IMOs agenda. På en SOLAS-konferanse i 1995 ble det bestemt at tidsfristene i den eksisterende oppgraderingsordningen burde strammes inn, og at målet skulle være full SOLAS 90-standard og ikke den lette versjonen som tidligere ble vedtatt. Den ultimate fristen ble satt til den første periodiske undersøkelsen etter 1. oktober 2005. Konferansen vedtok også en ekstra oppgraderingsordning for RO-RO-passasjerskip som transporterer 400 personer eller mer. Hensikten var at slike skip måtte oppgraderes for å sikre at de kan overleve uten å kantre med fylling i 2 avdelinger selv om skipet var utformet som 1-avdelingsskip. Hvis ikke måtte de bli trukket fra tjeneste.
Stockholm-avtalen
SOLAS-konferansen i 1995 vedtok også en resolusjon som tillot at det ble gjort regionale ordninger som skulle ta for seg spesielle sikkerhetskrav, slik som skadevirkning av vann på dekk på RO-RO-passasjerskip. Oppsamlingen av vann på RO-RO-dekk ble grunnlaget for Stockholm-avtalen (1996). Standarden som det refereres til, gjelder for naboland i den nordvestlige delen av Europa og kommer ikke under Solas-kravene. Et av kravene var: RO-RO-passasjerskip må tåle 500 mm vann på det vanntette kjøretøydekket når gjenværende fribord i en skadet tilstand er under 0,3 m.
Oppgave: «Sjø på bildekk»
En ferge med mål: 158 m L, 20 m B og 30 m H, CB = 0,84.
Dypgående er 5,05 m, og KG er lik 3,50 m.
KM for dette deplasementet for fergen er 7,0 m og forandrer seg lite (+/– 750 Tonnes ingen forandringer)
a) Beregn GM.
Under overfarten oppstår det et problem med baugporten slik at den åpner seg for et kort øyeblikk.
(Fergen er ikke skadet.)
Hele bildekket blir fylt med sjøvann. Bildekkets høyde over K er 4,85 m, og lengden av bildekket er 140 m, og bredden er 20 m. Det kan betraktes som rektangulært. Høyden på sjøvannet er 0,2 m (sounding).
b) Beregn GG1 og KG1 etter at bildekket blir fylt med sjøvann.
c) Beregn GG2. Hva blir effektiv GM etter at dekket er fylt med sjøvann?

Figur 0129 Skisse av fergen i oppgaven «Sjø på bildekk».
Løsningsforslag til oppgaven «Sjø på bildekk»:
a) Løsningsforslag: GM = KM – KG = 7,0 m – 3,5 m = 3,5 m
b) Løsningsforslag: Foreta noen beregninger:
∆ = ∇ × p = (L × B × T × CB) × p = (158 m × 20 m × 5,05 m × 0,84) × 1,025 Tonn/m3
∆ = 13404, 72 m3 × 1,025 Tonn/m3 = 13739,8 Tonnes
Vekt av sjøvannet = volum × p = (140 m × 20 m × 0,2 m) × 1,025 Tonn/m3 = 574 Tonnes
Beregner GG1 ved hjelp av formelen. Armen blir mellom tyngdepunktet til sjøvannet og fergens tyngdepunkt. Armen blir = 4,95 m – 3,50 m = 1,45 m
GG1 = vekt × arm / ∆ + vekt = (574 Tonnes × 1,45 m) / 13739,8 Tonnes + 574 Tonnes
GG1 = 0,058 m ≈ 0,06 m
KG1 = KG + GG1 = 3,50 m + 0,06 m = 3,56 m
c) Løsningsforslag: Beregner først GM = KM – KG = 7,0 m – 3,56 m = 3,44 m
GG2 = I × p/∆ = (l × b3/12) × p / ∆ = (140 m × (20 m)3/12) × 1,025 Tonn/m3 / 14313,8 Tonnes
GG2 = 6,68 m
G2M (effektiv GM) = GM – GG2 = 3,44 m – 6,68 m = –3,24 m
Ferger bygget før 1992 (Norge): Disse fergene hadde i hovedsak ikke vanntett oppdeling for skadestabilitet (avdelinger). I dag har ikke Sjøfartsdirektoratet mulighet i regelverket til å nekte disse eldste fergene sertifisering. Derfor har direktoratet startet en prosess med å se på de samfunnsmessige konsekvensene ved en utfasing eller ombygging, kontra det å la de eldste fergene fortsatt få seile som i dag. En utfasing vil gi flere gevinster, både i forhold til sikkerhet, men også i forhold til miljø. Samtidig er det flere hensyn som må tas. Derfor er det viktig at man gjennomfører en god prosess når man nå sier at det er ønskelig at de eldste fergene byttes ut med nye fartøy pressemelding (uttalelse fra Sjøfartsdirektoratet). Figur 0130 viser en ferge bygget før 1992 som har et enkelt bygg, lite overbygg, enkelt bildekk, kafé til passasjerer og oppholdsrom til besetning under bildekk. Dette gjorde dem til økonomiske bygg. Hva om en slik ferge kolliderer? Hva blir konsekvensene? Det er ikke sikkert at den ville ha sunket, men begrensninger på trygge rømningsveier ville nok ha bidratt til at tap av menneskeliv ville ha blitt en konsekvens.

Figur 0130 Ferge som er bygget før 1992.
Prosjektet «HARDER»
HARDER
HARDER (HArmonisation of Rules and DEsign Rationale) var et prosjektet utført av en uavhengig gruppe som ble finansiert av EU. Harmonisering har flere betydninger, men innenfor regelverk betyr det å samordne krav i lover og regelverk. Prosjektet startet opp i mars 2000 og ble avsluttet i mai 2003. En var fortsatt skeptisk til den probabilistiske metoden innenfor IMO, og prosjektet tok fatt på å lage en ny database som skulle gi en ny statistikk. Statistikken inneholdt 2900 tilfeller, der 1850 var kollisjoner og 930 var grunnstøtinger. Hovedmålene til HARDER var hjelpe til med å gjøre den probabilistiske metoden gyldig, foreta beregninger av et representativt utvalg av skip og hendelser for å etablere et nivå av overlevelsesevner, undersøke effekten på designutviklingen av skip sammenlignet med den gang eksisterende design. Her er noen av resultatene til HARDER:

Figur 0131 viser oversikt over skipets lengde og skadelengde.
Av figur 0131 ser man at de aller fleste skadelengdene er under 20 meter. Et skip kolliderer ofte med andre skip av samme størrelse (pga. fartsområder).

Figur 0132 viser oversikt over skipets bredde og bredden på skaden (hvor langt den penetrerer inn i skipet).
Av figur 0132 ser man at en god del av skadene ligger innenfor B/5 (deterministisk krav).
Den probabilistiske metoden kan forklares ganske enkelt:
Hva er sannsynligheten for at skade på en gitt størrelse forekommer?
Faktor P

Hva er sannsynligheten for at skipet ikke kantrer eller synker som et resultat av den skaden?
Faktor S

SOLAS 2009 Prosjektgruppen HARDER avsluttet sitt arbeid i mai 2003, og rapporten ble overlevert til IMO. I september 2004 sluttet underkomiteen SLF et utkast til forandringer i SOLAS kapittel 2-1. HARDER-prosjektets forslag var basert på testberegninger på et utvalg av 40 passasjerskip og 92 tørrlasteskip av forskjellige kategorier som gjenspeilte den internasjonale handelsflåten. Passasjerskipene økte betraktelig i størrelse på begynnelsen av 2000-tallet, i underkant av 150 000 BT med lengde på 311 meter og bredde (vannlinje) på 38 meter den gang. Passasjerkapasiteten var på 3114 personer, mens besetningen var på 1185. På grunn av sin størrelse hadde de vanskeligheter med å overholde de deterministiske kravene. Dette var dels fordi filosofien i de deterministiske kravene var at i den deterministiske metoden så blir et skip ansett som mer sikkert hvis det har større oppdelingsfaktor, mens den probabilistiske metoden hadde en tendens til å favorisere skip med mindre antall avdelinger. Noen justeringer ble gjort for å beholde hensikten med at sikkerhetsgraden skulle øke med skipets lengde og det totale antall transporterte personer. I dag er passasjerskipene på 230 000 BT med lengde på 360 meter og bredde (vannlinje) på 48 meter. Passasjerkapasiteten er på 6680 personer, mens besetningen er på 2200. Tørrlasteskipene var det mindre problem med, siden de fleste av dem var bygget etter de nye kravene. I desember 2004 ble utkastet vedtatt av IMOs Maritime Safety Committee (MSC). Noen mindre endringer ble foretatt av en internasjonal arbeidsgruppe i mars 2005. Den endelige versjonen av den langsgående skadefordelingen ble fullført av en internasjonal arbeidsgruppe i mars 2005, og den endelige teksten til endringene i kapittel 2-1 ble godtatt i mai 2005. Ikrafttredelse ble satt til 1. januar 2009. Noen mindre endringer ble gjort i desember 2006. Den offisielle SOLAS-endringen ble publisert som resolusjon MSC.216 (82) og er en integrert del av SOLAS-konvensjonen fra 1. januar 2009.
Følgende metoder blir benyttet i SOLAS 2009 etter skipstype:

Oljetankere, kjemikalietankere, gasstankere og tørrlasteskip med redusert fribord fortsatte med deterministisk metode, da disse skipstypene hørte til under MARPOL-konvensjonen vedlegg I, IBC-koden og så videre. På passasjerskipene falt kravet om grenselinjer. Det ble nye krav til det deterministiske regelverket etter SOLAS 2009. Disse blir omtalt litt lenger bak i dette kapittelet.
Den probabilistiske metoden
Begreper:
Space (mellomrom)
En enhet innenfor vanntette grenser, en tank, void space (tomrom), boligområde eller lasterom.
Compartment (avdeling)
Skal brukes som i tidligere forskrifter for å unngå forvirring, det vil si en samling av space (rom) i tverrskips vanntette skott. Denne bruken kan virke litt meningsløs i et probabilistisk konsept, men uttrykket er fortsatt nyttig som referanse.
Zone (sone)
Et langsgående intervall i det vanntette arrangementet. En sone kan bestå av en eller flere compartments (avdelinger) og spaces (mellomrom).
Skade
En samling av mellomrom som får en fylling i en sone. Mer enn én skade kan oppstå innenfor samme sone i en lokal avdeling.
Skipets oppdelingslengde i meter (Ls). Det er viktig å skille mellom denne lengdefaktoren og den som brukes i det deterministiske regelverket. Figur 0133 illustrerer hvordan oppdelingslengden er bestemt for tre forskjellige scenarioer. Som figuren viser, oppdelingslengden avhenger av det flytende skroget og reserveoppdriften av skipet og om disse «områdene» er skadet eller ikke. Det flytende skroget består av lukkede volum av skipet under vannlinjen, som er betegnet «dS» (deepest draft) i figuren, mens reserveoppdrift omfatter det lukkede volumet av skipet over vannlinjen. Den svarte linjen er definert som maksimal vertikal skadegrad og er alltid lik «dS» + 12,5 m målt fra basislinjen. Skipet illustrert på bunnen av figur 0233 skiller mellom reserveoppdrift som er skadet, og uskadet. Oppdelingslengden måles fra akterstevn. Av figuren ser man at også utheng på baugen (Flare) vil ha betydning for oppdelingslengden, da denne måles til den forreste delen av det skadede området.

Figur 0133.
Nødvendig (minimum) indeks «R»: Beregningsprosedyren for nødvendig overlevelsesindeks R er avhengig av skipstype. For passasjerskip er R-indeksen en funksjon av skipslengde, antall personer om bord og livbåtkapasitet. For lasteskip er R-indeksen utelukkende en funksjon av skipets lengde. For lasteskip større enn 100 m lengde og fraktskip mellom 80 m og 100 m i lengden beregnes R-indeksen ved henholdsvis ligninger nedenfor passasjerskipsligningen.

Lengden som er oppgitt ovenfor, er oppdelingslengden (Ls). N = N1 + 2N2. N1 = antall personer som det er plass til i livbåter. N2 = antall personer mer enn N1, inkludert offiserer og mannskap. For passasjerskip har oppdelingslengden Ls mindre betydning enn antall passasjerer. For lasteskip så øker R med lengden. Etter SOLAS 2009 så er kravet til R for passasjerskip > 0,9 og for lasteskip > 0,5 for Ls på 100 meter eller mer. Under vises en tabell for lasteskip. Hvis man utfører en beregning for et lasteskip med oppdelingslengde (Ls) på 200 meter, så blir minimum indeks R = 0,63, det samme viser tabellen i figur 0134.

Figur 0134 Tabell for «R»-indeks.
V-faktor: Nytt av SOLAS 2009 var at det ble innført en v-faktor for den delen av skroget som hadde en høyde på 12,5 m ovenfor d. Denne faktoren bidrar til overlevelsesindeksen «A».

Figur 0135 Skisse for faktor v.
Oppnådd overlevelsesindeks «A»: Beregnes ved formelen: Ac = Σ pi × si × vi
der:
«i» representerer det aktuelle skadetilfellet
«pi» representerer sannsynligheten for at bare det skadetilfellet som vurderes, inntreffer, uten hensyn til vertikal skadeutstrekning
«si» representerer sannsynligheten for at fartøyet ikke synker eller kantrer i det skadetilfellet som vurderes, når det også tas hensyn til effekten av en eventuell horisontal vanntett oppdeling.
«vi» representerer sannsynligheten for at fartøyet ikke får fylling, der H – d = er mer enn 12,5 m. Benyttes kun der dette er gjeldende
«Ac» der c representerer hver enkelt lastekondisjon.
«A» skal beregnes for null trim, når skipets konstruksjon og drift tillater dette. Summeringen av pi og si utføres kun med de skadetilfellene som bidrar til verdien av overlevelsesindeksen «A». Summeringen av pi og si utføres over hele lengden «Ls» for alle skadetilfeller der én eller flere sammenhengende avdelinger kan skades. Når skipet har vingavdelinger, skal summeringen av pi og si utføres for alle skadetilfeller som kun omfatter vingavdelingene, og som bidrar til oppnådd overlevelsesindeks «A». I tillegg beregnes alle skadetilfeller som omfatter vingavdelingene og innenfor liggende rom. En rektangulær inntrengning som strekker seg til skipets senterlinje, men uten at et eventuelt senterskott skades, legges til grunn for beregningene. Den vertikale utstrekningen av hver skade skal regnes fra basislinjen og opp til en hvilken som helst horisontal vanntett avgrensning over vannlinjen, eller høyere. Når en mindre vertikal skadeutstrekning gir et mindre gunstig resultat, skal en slik skade legges til grunn. Når det finnes rør, kanaler eller tunneler i en avdeling som antas skadet, skal det legges til grunn at det er gjennomført tiltak som forhindrer tiltakende fylling av intakte avdelinger. I beregningene skal kun en sammenhengende skade legges til grunn.


Den endelige A-indeksen bestemmes ved hjelp av tre forskjellige oppdelingsdypganger. Hver av dem blir multiplisert med den faktoren som de er angitt med.
c = dS, deepest, dypest dypgang, uten trim
c = dP, partial, delvis dypgang, uten trim
c = dL, light, lett service-dypgang, ballastkondisjon for lasteskip eller ankomstkondisjon for passasjerskip, med tilsvarende trim (ikke mer enn 1 % av lengden (Ls))

Figur 0136 Oppdelingsdypgående.
Dypest oppdelingsdypgang er ved sommerdypgående, delvis oppdelingsdypgang er lett service pluss 60 % av differansen mellom lett og dypest dypgang. Lett service-dypgang er den minst forventete lastekondisjon med bunkers, som innebærer nødvendig ballast for å opprettholde stabilitet og nødvendig nedsynking for lasteskip eller ankomstkondisjon for passasjerskip.

Figur 0137 Grensekurve for GM til bruk ved kalkulering av oppnådd overlevelsesindeks «A». Ls = oppdelingslengden.
Grensekurve for GM: Light service draft (dl) representerer den nedre grensen til minimum nødvendig GM-kurve (eller maksimalt tillatt KG-kurve). Det tilsvarer generelt ballast ankomsttilstand med 10 % forbruksmengde for lasteskip. For passasjerskip tilsvarer det generelt til ankomsttilstanden med 10 % forbruksmengde, et komplett av passasjerer og besetning og deres effekter, og ballast etter behov for stabilitet og trim. 10 % ankomsttilstand er ikke nødvendigvis den spesifikke tilstanden som må brukes for alle skip, men representerer generelt en passende nedre grense for alle lasteforhold. Dette er ikke gjeldende ved f.eks. dokking. Lineær interpolering av begrensningsverdiene mellom utkastene dS, dP og dL er bare gjeldende for minimum GM-verdier. Hvis det er ment å utvikle maksimale tillatte kurver av KG, skal det beregnes et tilstrekkelig antall KMT-verdier for mellomliggende dypganger for å sikre at de resulterende maksimale KG-kurver korresponderer med en lineær variasjon av GM. Når det ved lett service dypgang ikke er med samme trim som de andre dypgangene, KMT for dypgang mellom delvis og lett servicedypgang, skal det beregnes for trim interpolert mellom trim ved delvis dypgang og trim ved lett servicedypgang. I tilfeller der det operative trimområdet er beregnet til å overstige ± 0,5 % av Ls, skal den originalen GM-grenselinjen utformes på vanlig måte med dypeste oppdelingsdypgang og delvis oppdelingsdypgang beregnet ved aktuell trim og faktisk servicetrim brukt for lett service dypgang. Da bør det lages ytterligere sett med GM-grenselinjer på grunnlag av operasjonelle nivåer av trim som kommer inn under lastekondisjoner for delvis dypgang og dypest dypgang, som sikrer at intervaller på 1 % av Ls ikke overskrides (1 % akterlig trim). For den lette service dypgang dl skal bare aktuell trim vurderes. Flere sett med GM-grenselinjer kombineres for å gi en «rett strek imellom to punkter» som begrenser GM-kurven. Det effektive trimområdet for kurven skal være tydelig angitt.
MS Rocknes var et bulkskip, et spesialfartøy for dumping av steinmasse på havbunnen. Sommerdødvekt var på 25 063 Tonnes, skipets lengde var 166,7 m, bredde 28 m og skipets sommerdypgående 10,5 m. Om ettermiddagen 19. januar 2004 var skipet på sørgående i Vatlestraumen, like sør for Bergen. Skipet kom altfor langt til styrbord i leia og inn i rød sektor (Hilleren lykt) før skipet traff en grunne like ved Revskolten lykt. Etter dette fikk MS Rocknes stabilitetsproblemer og slagside mot styrbord. Etter veldig kort tid kantret skipet og ble liggende med bunnen i været. Av de 30 som var om bord, omkom 18. Tre personer ble reddet ut i live etter at de hadde sittet i sju timer inne i skroget til det kantrede skipet.

Figur 0138 Rocknes etter forliset i Vatlestraumen.
Rocknes ble bygget i 2000 og kom under SOLAS 90-reglene som trådte i kraft 1. februar 1992. Skipet var spesialisert på å dumpe steinmasser på olje- og gassrørledninger på havbunnen. Lossing av steinmassene ble utført av et transportbånd som tok ut lasten i bunnen av lasterommene for så å bli transportert opp på dekk. Videre ble lasten ført ned og plassert nøyaktig på havbunnen ved hjelp av et fleksibelt rørsystem. Denne form for lossing medførte dårligere stabilitet mens den foregikk, for lasterommenes utforming medførte at tyngdepunktet til lasten ble forholdsvis høy. Rocknes hadde GM-grensekurver for flere dypganger, og da ulykken inntraff, så var gjeldende GM-krav 0,62 m, men det ble påvist under sjøforklaringen at aktuell GM var 0,40 m. Lasten var heller ikke trimmet før avgang. Ballasttankene til Rocknes var plassert i senter, og ut på begge sider av lasterommene var det store tomrom (se profil av lasterommene i figur 0139).
Beregningsformel for nødvendig overlevelsesindeks R for lasteskip > 100 meter, som kravet var på den tiden:

Rocknes' Ls var 166,7 meter og kravet til nødvendig overlevelsesindeks R = 0,533. Oppnådd overlevelsesindeks A ble på den tiden kun utført på to dypganger: partial (delvis) og dypest dypgang (sommerlastelinje). Disse indeksene ble som følger:
Indeks på sommerlastelinje, skade på styrbord side (ds sb): 0,179
Indeks på sommerlastelinje, skade på babord side (ds bb): 0,386
Indeks på partiell dypgang, skade på styrbord side (dp sb): 0,721
Indeks på partiell dypgang, skade på babord side (dp bb): 0,871
$\frac{ds sb + ds bb + dp sb + dp bb}{4}$ = $\frac{0,179 + 0,386 + 0,721 + 0,871}{4}$ = 0,539
Oppnådd overlevelsesindeks A > R. Man ser av beregningen at begge dypganger ble vektet likt. Partiell dypgang bidro klart mest, og styrbord side kom dårligst ut. Det var ingen krav på den tiden om at hvis det var usymmetrisk indeks, så skulle det være krav til ugunstig side. Underkomiteen SLF (IMO) fremla i 2004 at de forskjellige bidragene til oppnådd overlevelsesindeks A skulle ha en form for vekting på de ulike dypganger. Resultatet ble:
A = 0.4AS + 0.4AP + 0.2AL > R


Figur 0139 Illustrasjon av Rocknes og de ulike dypganger.
Ved Bernestangen foretok Rocknes en sving til babord som medførte at lasten raste mot styrbord side. Lasten var ikke trimmet før avgang og ble liggende med topper på midten. Transportbåndet benyttet til lasting i Eikefet var for kort, skipet lå med babord side ved kai, noe som medførte at det lå mer last på babord side i lasterommene. Skipet fikk om lag 5 grader list til styrbord på grunn av at lasten raste, og det ble fylt ballast på babord side for å rette skipet opp. Det er blitt antydet i ettertid at denne ballasttanken lå høyt oppe. Skipet var usedvanlig ustabilt etter denne hendelsen, det var lastet til vinterlastemerket og kunne ikke fylle mer ballast. På grunn av at skipet ble ustabilt, så ble det foretatt så «rolige» svinger som mulig, noe som medførte at skipet kom for langt til styrbord i leia og traff en grunne like ved Revskolten lykt. Denne grunnen var ikke merket på sjøkartet, og losen som var om bord, var heller ikke klar over den. Rocknes fikk skade fremme på styrbord side, en flenge som var om lag 20 meter lang og 10 cm bred. Skipet fikk også litt skade lenger akterut, men denne var ikke betydelig. Den raske fyllingen inn i to store tomrom medførte at skipet kantret helt rundt i løpet av 2 til 4 minutter. Losen om bord var rask til å komme seg ut av styrehuset, og han sprang etter skutesiden for til slutt å ende opp på skipets bunn. Skipet var i realiteten uten GZ-kurve og hadde ingen mulighet til å motstå kantringen. Lasten som raste til styrbord side, bidro til at kantringen gikk raskere.
SI-faktoren: Verdien av «Si» representerer sannsynligheten for overlevelse etter en fylling av en sone eller i det bestemte skadetilfelle (i). Si er det viktigste bidrag i det probabilistiske konsept. Figur 0140 viser en normal GZ-kurve ved en intakt kondisjon. GZ maks er det høyeste punkt på GZ-kurven, målt i meter over null-linjen. Utstrekning (range) angir hvor GZ-kurven har positiv verdi, målt i grader fra ett punkt til et annet. I dette tilfelle fra 0 grader til 90 grader. Figur 0127 tar for seg diverse krav til GZ-kurver i skadet tilstand i forskjellige konvensjoner.

Figur 0140 GZ-kurve.
Figur 0141 SOLAS 1990 (SOLAS 1974-konvensjon). Krav til passasjerskip: Det er to krav, ett i sluttfasen og ett i den mellomliggende fasen, her blir bare krav til sluttfasen nevnt. GM større enn 0,05 m ved symmetrisk fylling. Ved usymmetrisk fylling: 1. Maksimum list 7 grader ved type 1- avdelingsskip, maksimum list 12 grader for type 2-avdelingsskip og type 3-avdelingsskip. 2. Φ maks = 22 grader ved type 1-avdelingsskip og 27 grader ved type 2- eller 3-avdelingsskip. 3. GZ-kurveutstrekning skulle være lik eller større enn 15 grader. GZ maks rettende arm skulle være lik eller større enn 0,1 m krengende moment. Arealet av GZ-kurven skulle være lik eller større enn 0,015 meterradianer. Usymmetrisk fylling skulle unngås med hjelp av kryssfyllingsutjevningsarrangement, kravet var at det skulle være innfridd i løpet av 15 minutter.

Figur 0141 Stabilitetskrav i SOLAS 1990.
Prosjektgruppen HARDER kom i sine undersøkelser frem til at tidligere krav til den kritiske bølgehøyden ved en kollisjon og fylling av avdeling var satt for høyt. Det viste seg at for de aller fleste tilfellene så var bølgehøyden (signifikant) under 2 meter ved 90 % av kollisjonstilfellene. Det var sjelden at bølgehøyden (signifikant) var over 4 meter. Flere modellforsøk utført av HARDER viste at arealet til GZ-kurven hadde mindre betydning enn antatt, det som var viktig, var utstrekning og GZ max, basert på at disse to hadde verdier som var tilstrekkelig høye. Kravet til areal (GZ) falt dermed bort.

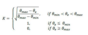
Sfinal (Sendelig): K er basert på forutsetninger lenger ned på siden. Hvis krengevinkel θe blir større enn 7 grader for passasjerskip eller større enn 25 grader for lasteskip, så blir K = 0. GZ max kan maks være 0,12 meter, og utstrekning kan maks være 16 grader, selv om de er større i verdi. Grunnen til det er at Sfinal er en sannsynlig beregning, og denne må bli = 1 eller 0. Sfinal må være 1 for å bli godkjent.
θe Equilibrium heel angle, likevekts krengningsvinkel i hvilket som helst stadium av fyllingen.
θv Er den vinkel i hvilket som helst stadium av fyllingen hvor den rettende arm (GZ) blir negativ.
θ min Minimum krengningsvinkel, som er 7 grader for passasjerskip, 25 grader for lasteskip.
θ max Maksimum krengningsvinkel, som er 15 grader for passasjerskip, 30 grader for lasteskip.
Range Utstrekning (rekkevidde) av positive GZ-verdier = θv- θe.
GZ max Maksimumsverdien til positive GZ-verdier (meter) opp til θv.
SIntermediat, i Sannsynligheten for å overleve alle mellomliggende stadium helt opp til likevekts stadium.
Sfinal, i Sannsynligheten for å overleve i det endelige likevektsstadiet av en fylling.
Smom, i S annsynligheten for å overleve krengende moment.
Mheel Maksimum antatt krengende moment.


Sint: Gjelder kun for passasjerskip, hvis den mellomliggende krengningsvinkel overstiger 15 grader, så blir Sint = 0. Faktor K er ikke med i formelen, GZ max kan maks være 0,05 meter, og utstrekning kan maks være 7 grader.

Figur 0142 Åpning neddykket.
Figur 0142 tar for seg et eksempel der en åpning eller flere er neddykket. Her vil ikke GZ max være i toppunktet på kurven, men der hvor θv inntreffer. GZ-kurven er kuttet av på samme punkt som θv er, fordi det kan ikke defineres som positivt rettende moment når en åpning er neddykket. Dette problemet kan unngås ved at alle åpninger plasseres i en sikker høyde over skottdekket. Fyllingsvinkelen er den krengevinkel der den nederste kant av åpninger i skroget, overbygningen eller i dekkshus, som ikke kan lukkes værtett kommer under vann. Værtett betyr at vann ikke under normale sjøforhold vil trenge inn i skipet. En lukket værtett dør kan tette for sjøsprøyt og periodisk mindre fylling av sjø på værdekk, men kan lekke under nedsenking.
Værtett og vanntett
Rent praksis kan man si at forskjell på værtett og vanntett, der værtett skal motstå vanntrykk fra utsiden mens vanntett skal motstå vanntrykk fra begge sider.

Figur 0143 værtett dør
Krav til grenselinjen (76 mm) fjernet ved den probabilistiske metode:

Re-post figur 0105 Grenselinje.
Hensikten med grenselinjekravet var å unngå ytterligere nedsynking av eventuelt vann på skottdekket, men dette stridde litt imot det probabilistiske konseptet. Det ble lagt til grunn at dette skulle kompenseres for med tydelige krav til vanntett integritet og evakuering av passasjerer og mannskap. Det medførte og vil medføre mer begrenset bruk av vanntette dører og mer bruk av utskytende redningsredskaper (launching devices (LSA code)).
Beregning av oppnådd overlevelsesindeks «A»: For å utarbeide beregningen av «A» må det aktuelle skipet deles i et fast, diskret antall soner, i langsgående, tverrgående og vertikal retning. En langsgående sone er definert som: en langsgående intervall av skipet innenfor skipets oppdelingslengde (Ls). Det er opp til konstruktøren hvordan denne inndelingen av sonene blir utført. Flere antall soner vil gi en høyere verdi på overlevelsesindeks «A», og dess større «A» er, dess større er sikkerheten. Det er hensiktsmessig å dele skipet inn i samme antall soner som antall avdelinger.

Figur 0144 Inndeling av soner (sett ovenfra).
Pi-faktoren: Pi er sannsynligheten for en spesifikk skade på fartøyet, dvs. at en vanntett avdeling eller gruppe av vanntette avdelinger er blitt utsatt for en fylling. Faktoren er utelukkende avhengig av geometrien til de vanntette avdelingene. Formel for Pi:

Der
j: Den bakerste sonen involvert i denne hendelsen, sone starter med nummer 1 helt bakerst.
k: Antall spesielle langsgående skott som barriere for tverrgjennomføring.
X1: Avstand fra akterenden av skipet til akterenden av den aktuelle sonen.
X2: Avstand fra akterenden av skipet til den fremre enden av den aktuelle sonen.
b: Gjennomsnittlig tverrgående avstand fra skuteside til en langsgående barriere. Kan aldri være større enn Bredden/2.
r: Faktor for å gjøre rede for det tverrgående skadeomfanget.

Figur 0145 viser et skip med soneinndelinger, skipet tåler ikke skade i tre soner.
Beregninger av probabilistisk skadestabilitet (ved hjelp av Hydromax):

Figur 0146 Gjeldende kriterier for et lasteskip.

Figur 0147 Analyseringen er startet, man ser at den blir utført for alle tre forskjellige oppdelingsdypganger.

Figur 0148 Analysering pågår, i alle tenkelige scenarioer.

Figur 0149. Beregner Sfinal, Sfinal = 1, som er godkjent.

Figur 0150. Totalt oppsummert. Oppnådd overlevelsesindeks «A» har oppnådd verdi 0,891395, nødvendig (minimum) indeks «R» = 0,589181. Krav er «A» > R, og resultatet er godkjent (pass). Samme beregninger utføres ved passasjerskip (med gjeldende kriterier), men her kommer også beregning av det krengende moment. Det krengende moment beregnes ved at alle passasjerer står på den ene siden, med en bestemt vindstyrke og låring av livbåter på samme side.

Figur 0151 Prosess ved planlegging og konstruksjon av skip.

Figur 0152 Kryssfylling arrangement (utjevning).
I 2013 kom det nye krav til utjevning (kryssfylling). Tidligere krav var at utjevningen skulle være ferdigstilt innen 15 minutter, men i 2013 ble dette endret til innen 60 sekunder.

Figur 0153 Sikker evakueringsvei.
Evakueringsvei
Evakueringsvei skulle ikke være hemmet av vann (kun passasjerskip), sikker vertikal evakueringsvei opp til skottdekk skulle være plassert i senter av skipet (nær senterlinjen) for å unngå vann ved krengning.
Fyllingsgrad (μ) for et rom betyr den andelen av rommets volum (under vann) som kan være fylt med vann.

Definisjon av «lengde» i den internasjonale lastelinjekonvensjonen, artikkel 2 punkt 8: «Lengde» betyr 96 prosent av den hele lengde på en vannlinje tilsvarende 85 prosent av den minste dybden i riss målt fra overkant av kjølplaten, eller lengden fra forkant av forstevnen til senter av rorstammen (akse) på samme vannlinje hvis denne lengde er større.
Skipet på figur 0154 har dybde i riss: 11,0 meter. 0,85 av D i riss blir = 9,35 meter.
Den gule streken blir vannlinjen, og den måles til 140 m. 0,96 av denne vannlinjen blir = 134,40 meter. Mål fra aktre perpendikulær (rorstamme senter) til forkant av forstevnen (forre perpendikulær, FP) på samme vannlinje blir 134,0 meter. Lengden til dette skipet blir 134,4 meter.

Figur 0154.Definisjon av lengde
Plassering av kollisjonskott: Form på forskipet har forandret seg gjennom tidene. Avstanden fra FP til kollisjonskottet for passasjerskip ble fastsatt i SOLAS 1929, på den tiden var det vertikal forstevn. Det har vært ulike krav til avstand for lasteskip og passasjerskip. I SOLAS 2009 ble det fastsatt nye krav som ble gjeldende både for passasjer- og lasteskip, som tok hensyn til at det er skrog fremfor FP.
I den senere tid har det kommet flere nye skip med vertikal forstevn, slik som ekspedisjonsskipene Roald Amundsen og Fridtjof Nansen.

Figur 0155 Kollisjonskottplassering.
| SOLAS 2009 | Minimum avstand fra FP | Maksimum avstand fra FP |
|---|---|---|
| Passasjer- og lasteskip | 5 % av lengden eller 10 meter, det som er minst, benyttes | 8 % av lengden eller 3 meter + 5 % av lengden, det som er størst, benyttes |
Krav til deterministisk metode:
| Regelverk IMO | Gjelder for: |
|---|---|
| ILLL 66 | Lasteskip med redusert fribord |
| MARPOL 73/78 | Tankskip som frakter olje |
| IBC Code | Skip som frakter farlige kjemikalier i bulk |
| IGC Code | Skip som frakter flytende gass i bulk |
| HSC Code | Hurtigbåt |
Generell skadelengde for de deterministiske krav: Langskips utstrekning: (3 + 0,03 × L) m eller 11 meter (den som er minst, benyttes). Tverrskipsskade: Tverrskipsutstrekning: B/5 eller 11,5 meter (den som er minst, benyttes). Krav til stabilitet: GM > 0,05 m, krengevinkel <7 grader for 1-avdeling fylling og 12 grader for 2-avdelinger eller 3-avdelinger. Krav til GZ-kurve: GZ max > 0,1 meter, areal GZ-kurve > 0,0175 meterradianer, utstrekning større enn 20 grader.
MARPOL vedlegg 1: Langskipsutstrekning (i skuteside) 1. 1/3 L2/3 m eller 14,5 m (den som er minst, benyttes). Tverrskipsutstrekning: B/5 eller 11,5 m (den som er minst, benyttes). Areal GZ-kurve > 0,0175 meterradianer, utstrekning større enn 20 grader. Kan tillates at en åpning er neddykket. IBC Code: Langskipsutstrekning (i skuteside) 1. 1/3 L2/3 m eller 14,5 m (den som er minst, benyttes). Tverrskipsutstrekning: B/5 eller 11,5 m (den som er minst, benyttes). GZ max > 0,1 meter, areal GZ-kurve > 0,0175 meterradianer, utstrekning større enn 20 grader. Kan tillates at en åpning er neddykket. IGC Code: Langskipsutstrekning (i skuteside) 1. 1/3 L2/3 m eller 14,5 m (den som er minst, benyttes). Tverrskipsutstrekning: B/5 eller 11,5 m (den som er minst, benyttes). GZ max > 0,1 meter, areal GZ-kurve > 0,0175 meterradianer, utstrekning større enn 20 grader. Kan tillates at en åpning er neddykket. HSC Code: Etter skade må fartøyet oppfylle følgende: Alle nedstrømmingspunkter må være minst 50 % av den signifikante bølgehøyde over vannlinjen. Dekkskanten må ikke være nedsenket der hvor redningsredskapene er plassert. Ingen krav til GZ max, areal GZ-kurve > 0,028 meterradianer, maksimum list for passasjerskip: 15 grader, maksimum list for lasteskip: 20 grader. Det er også krav til krengende moment med passasjerene i en av sidene og ved en bestemt vindstyrke.
Dobbeltbunn: En dobbeltbunn skal monteres fra kollisjonsskottet til hylseskottet, så langt det er praktisk mulig og forenlig med skipets utforming og effektive drift. Der det kreves en dobbeltbunn, skal den indre bunnen forlenges ut til skipssidene på en slik måte at den beskytter skipsbunnen til slagene. Denne beskyttelsen vil bli ansett som tilfredsstillende når den indre bunnen ikke på noe sted kommer under et nivå parallelt med kjøllinjen, og når den er plassert ikke mindre enn en vertikal avstand h målt fra kjøllinjen, som beregnet ved formelen: h = B/20. Ikke i noe tilfelle skal imidlertid verdien av h være mindre enn 760 mm, og den trenger ikke forutsettes å være mer enn 2000 mm. Små brønner som er laget i dobbeltbunnen i forbindelse med lensearrangementer for lasterom osv., skal ikke ha større dybde enn nødvendig. En brønn som går helt ned til ytre bunn, er likevel tillatt ved akterenden av akseltunnelen. Andre brønner (f.eks. for smøreolje under hovedmaskiner) kan tillates av administrasjonen hvis den er forvisset om at arrangementene gir tilsvarende beskyttelse som en dobbeltbunn i samsvar med kravene i denne regel. Ikke i noe tilfelle skal den vertikale avstanden fra bunnen av en slik brønn til et nivå som sammenfaller med kjøllinjen, være mindre enn 500 mm. Det er ikke nødvendig å montere dobbeltbunn for vanntette tanker, herunder tørre tanker av moderat størrelse, forutsatt at dette ikke vil sette skipets sikkerhet i fare i tilfelle av skade på bunn eller skipsside.

Figur 0156 Ballasttanker på bulkskip type «Capesize» med dobbelt skrog.
Ballasttankarrangementet til «Capesize» er:
øvrevingtank,
sidetank,
hoppertank og
dobbeltbunntank.
Disse ballasttankene er adskilt fysisk, men inngår i fellesballastrørsystemet, de blir adskilt med ventiler.

Figur 01567Et bulkskip med enkelt skrog (venstre) og et tankskip med dobbelt skrog (høyre), begge med utsnitt av ballasttanker.
Dobbelt skrog: Resulterer i U- og L-formede ballasttanker. U-tanker: Tanker som går over skipet i tverrgående retning. Hensikten med U-tanker er at de fordeler fyllingen tvers over skipet, og dermed blir det ikke bare fylling på den ene siden av skipet. Derfor avtar U-tanker asymmetrisk vektfordeling og følgelig sterk krengning, og forbedrer dermed skadestabiliteten. Ulempen med U-tanker er at de har en tendens til å ha et stort volum, som betyr at en skade på en U-tank tillater stor fylling, noe som kan hemme skadestabiliteten. Ved en bunnskade så kan det forårsake større list (krengning) pga. usymmetrisk stor fylling, men foreløpig er det ingen restriksjoner tilknyttet dette.

Figur 0158 viser en skade i og mellom ballasttanker på babord side.
Vanntette dører: Dampskipet Great Eastern, bygget i 1858, lengde: 211 meter, hadde dobbelt skrog (jern) og 13 vanntette seksjoner, et skip langt forut for sin tid. RMS Olympic ble sjøsatt i 1910 og var lenge det lengste skipet som seilte før og etter Titanic i lange tider, bare 3 tommer kortere enn RMS Titanic og nærmest identisk. (RMS = Royal mail ship.) Begge skip var utstyrt med vanntette dører av vertikal-stengingstype. SOLAS 1914-konvensjonen hadde ingen krav til vanntette dører, men SOLAS 1929-konvensjonen hadde en del.

Figur 0159 Vanntett dør (RMS Olympic og RMS Titanic).
Det var tillatt med hengslete vanntette dører i lasterom, men disse måtte være stengt under hele sjøreisen. Alle andre vanntette dører måtte være av skyvende type. Hvis flere enn fem vanntette dører ble åpnet under sjøreisen, så skulle det være mulig å stenge dem samtidig fra skipsbroen, og denne operasjonen skulle innledes med lydvarselsignal.

Figur 0160 Vanntett dør bygget etter forskrift av 1992.
En vanntett dør med mål 2000 × 800 mm der høyde av vannstand er 4 meter høyere enn senter av døren, hvis denne er i åpen tilstand, så er det mulig å fylle 2500 m3 igjennom i løpet av 5 minutter. Unnlatelse av å gjenkjenne viktigheten av vanntette dører kan ha stor innvirkning på skipets vanntette integritet og ha katastrofale konsekvenser. Når strukturelle skader oppstår på et skip, spesielt ved kollisjon eller grunnstøting, er det potensiell risiko for at skott og dekk deformeres, slik at vanntette dører ikke kan lukkes. Risikoen for progressiv fylling etter slik deformasjon av skipets struktur kan øke hvis vanntette dører er enten åpne eller ikke kan lukkes. En annen potensiell risiko for skipets overlevelsesevne er når store mengder vann fyller et skip, spesielt etter omfattende strukturelle skader. Mengden av vanninntrenging, som avhenger av størrelsen på den skadede åpningen og vanntrykket, kan raskt fylle et rom. Det er derfor viktig at et skip har tilstrekkelig overlevelsesevne i tilfelle skader, og husk at når tilstøtende vanntette dører er åpne, kan flere rom få fylling fordi kravet til stenging av vanntette dører er opptil 60 sekunder. Man må huske at ved beregning av overlevelsesindeks «A», slik som i figur 0150 så er det tatt i betraktning at alle vanntette dører er stengt (lukket tilstand).
Kjente forlis der vanntette dører var involvert:

Figur 0161 SS Britannic.
Dampskipet Britannic: Søsterskip av Olympic og Titanic, sjøsatt 1914, forbedringer gjort i henhold til sine to søsterskip med blant annet skottdekk. Under den første verdenskrig ble skipet omgjort til hospitalskip. På den sjette turen kantret hun og sank etter å ha blitt rammet av en stor eksplosjon da hun var på vei til Tyrkia den 21. november 1916. Hun forliste utenfor øya Kea i Egeerhavet, 30 mennesker mistet livet under forliset. Det har vært mange undersøkelser for å finne ut om senkningen var et resultat av en mine eller en torpedo skutt fra en tysk ubåt, uten at en konklusjon har blitt nådd. Eksplosjonen fant sted forut på styrbord side, og kapteinen beordret lukking av de vanntette dørene og sendte ut nødsignal umiddelbart. Men selve lukkingen lyktes ikke helt, og det kan skyldes at det oppsto et bøyemoment fremme i skipet under eksplosjonen slik at dette hindret noen av dørene i å bli lukket.
Det gikk raskt
Kapteinen prøvde da å få strandet skipet på øya Kea, som lå 7 Nm unna. Denne handlingen kunne ha lyktes, men sykepleierne hadde tidligere åpnet opp ventilene på hoveddekket for å gi ventilasjon til de pasienter som lå der. Da skipet tok fylling igjennom disse ventilene, så gikk det raskt. En halvtime etter eksplosjonen innså kapteinen at skipet var tapt og ikke ville rekke frem til Kea i tide.
Dampskipet Lusitania: Lusitania var et britisk passasjerskip som ble senket av en tysk ubåt utenfor kysten av Irland under første verdenskrig, 7. mai 1915, blant de 1198 omkomne var 123 amerikanske statsborgere. Hendelsen skapte en sterk tyskfiendtlig opinion i USA, men var ikke en utløsende årsak til at USA kom med i krigen. Skipet ble sjøsatt i 1906. Skroget var oppdelt i tolv separate vanntette avdelinger. Opptil to av disse avdelinger kunne få fylling uten at skipet ville synke. En viktig feil i denne konstruksjonen var at de vanntette skyvedørene til kull-lageret måtte være åpne for å kjøre skipet. Skipet ble truffet av en torpedo, og hadde denne avdelingen hatt de vanntette dørene lukket, så ville skipet ha overlevd. Istedenfor fikk seks til sju avdelinger fylling, skipet krenget til styrbord, trimmet ned forut og forliste i løpet av 18 minutter. Denne hendelsen fikk Tyskland til å ikke angripe passasjerskip på en stund, men da Tyskland imidlertid offisielt gjenopptok ubegrenset ubåtkrigføring, hadde president Wilson og den amerikanske offentligheten fått nok. I april 1917 stemte USAs kongress for å erklære krig mot sentralmaktene og gikk inn i første verdenskrig.
M/S Costa Concordia: Ble bygget i 2006 og kom derfor ikke under SOLAS 2009 Damage stability-kravene. Italias største cruiseskip med lengde: 290 meter og bruttotonnasje: 114 150.

Figur 0162 Costa Concordia.
Den 13. januar 2012 ble Costa Concordia vraket på øya Giglio i Middelhavet etter en grunnberøring. På det tidspunktet var det 4229 personer om bord på fartøyet: 3206 passasjerer og 1023 mannskap. Denne hendelsen resulterte i at 32 personer døde. Kapteinen avvek fra den opprinnelige planlagte seilasplan for å passere nærmere Giglios østkyst, noe som var blitt gjort flere ganger ved tidligere seilaser. Kapteinen beordret manuell styring, og en rormann ble plassert ved roret.
Kommunikasjon og kontroll
Kapteinen ga rorordrene på engelsk til tross for at italiensk var arbeidsspråket om bord. Rormannen hadde dårlige engelskkunnskaper og kommuniserte flere ganger feil da han skulle bekrefte rorordrene. Kapteinen valgte å foreta kursendringen med gradvise endringer istedenfor en tydelig kursendring fra et «ror over»-merke på kurslinjen i kartet. Dette medførte at skipet kom 2,8 kabler mer innenfor kurslinjen enn planlagt. Det ble heller ikke foretatt kontroll av skipets posisjon ved eller etter kursendringen. Skipet hadde en fart på 15 knop på dette tidspunktet.

Figur 0163 Kartskisse med planlagte reiser.
Hendelsesforløp:
Kl. 21:45: Grunnberøring (men skipet drifter først i retning 360 grader etter berøringen).
Kl. 21:50: «Blackout» på maskineriet.
Kl. 21:55: Rapportert til skipsbroen at fylling av avdelinger i maskinrommet påbegynt.
Kl. 22:12: I kontakt med Leghorn maritim redningssentral, sentralen ble informert om blackouten.
Kl. 22:34: Stor økning i krengning. Skipet erklærer nødsituasjon til maritim redningssentral.
Kl. 22:40: Skipet sender ut nødsignal ved hjelp av INMARSAT.
Kl. 22:44: Skipet berører bunnen (har driftet i sørvestlig retning fra kl. 22:14).
Kl. 22:48: Forlat skip-signal startet, inntil nå har skipet hatt en list på om lag 15 grader.
Kl. 23:37: 440 personer rapportert fortsatt om bord.
Kl. 00:34: Skipet kantrer, har negativ stabilitet (grunnstøtkraft). Kapteinen forlater skipet (skipet har nå 60–70 graders list til styrbord).
Skaden etter bunnberøringen hadde en lengde på 53 meter, men det sies ikke noe om den vanntette integriteten i hele denne lengden var berørt. Det var vanlig praksis om bord å holde enkelte vanntette dører (5 stk.) åpne under navigering, flaggstaten (Italia) tillot dette. I hendelsesøyeblikket var det to vanntette dører som sto åpne, i ettertid har det blitt rapportert om én til. Kapteinen ga ordre om stenging av de to kjente vanntette dørene rett etter grunnstøtingen, og senere ble det gitt ordre om at alle vanntette dører skulle lukkes. Under evakueringen av maskinrommet ble det åpnet og lukket vanntette dører flere ganger for korte øyeblikk. Avdeling nr. 5 ble raskt fylt med en rask fylling av de nærliggende avdelinger, som nr. 6, og med progressiv fylling av nr. 4, 7 og 8 også. Fyllingen av disse fem avdelingene medførte at skipet sank dypere slik at skottdekket også ble fylt. Det medførte at avdeling nr. 3 ble fylt via en trappeoppgang. Skipet ble bygget etter SOLAS 1990-reglene, som tilsa at skipet skulle tåle fylling i to avdelinger. Skipet var fortapt, spesielt når nødgeneratorene sviktet slik at det ikke var mulig å lense skipet med lensepumpene. Skaden på skroget var for omfattende til at skipet kunne berge seg, og det spilte ikke noen rolle i den sammenheng om de aktuelle vanntette dørene var åpne eller lukket. Men det hadde en betydning at hendelsen med nedsenkingen av skipet gikk hurtigere, og at det ble mindre tid til evakuering. Evakueringen ble ikke igangsatt før en time etter grunnberøringen, og skipets kaptein og besetning ble sterkt kritisert for denne handlingen. Kl. 06:14 var alle evakuert ifra skipet ved hjelp av Livorno kystvakt (8 timer og 29 minutter etter at grunnberøringen fant sted).
Skipets kaptein ble dømt til 16 år og 1 måned fengsel, det fremholder også at det ikke var grunnberøringen med de undersjøiske skjærene som var den direkte årsaken til at 32 personer mistet livet. I stedet knytter de dødsfallene til kaoset som brøt ut fordi skipet mistet motorkraften, og det mener de at kapteinen ikke kan klandres for. Kapteinen ble anklaget for å ha forlatt skipet før alle passasjerene var evakuert.
… den siste som forlater et synkende skip
Bruddet på den gamle regelen om at kapteinen skal være den siste som forlater et synkende skip, er imidlertid kun bakgrunnen for ett år av fengselsdommen.

Figur 0164 Snitt av de vanntette avdelinger som fikk fylling (styrbord side).
Operasjon og kontroll av vanntette dører:

Figur 0165 viser en vanntett dør med diverse komponenter.
Kraftdrevne vanntette skyvedører kan være hydraulisk eller elektrisk betjent. Hydraulisk betjente dører må enten ha to uavhengige kraftkilder (hver består av en motor og en pumpe) som kan lukke alle dører, eller hver dør kan ha et uavhengig hydraulisk system. I begge tilfeller må det også være hydrauliske akkumulatorer som er i stand til å gi lageret kraft til å betjene dørene minst tre ganger: lukket, åpent, mot en list (krengning) på 15 grader. Elektrisk betjente dører må ha et uavhengig elektrisk system og motor for hver dør med strømkilden som automatisk kan leveres av overgangskilden til nødstrøm. I tilfelle svikt i hoved- eller nødkilden må dører være i stand til å betjenes minst tre ganger, som for hydraulisk betjente dører. Det er lavnivåalarmer for de hydrauliske væskebeholderne og en lav gasstrykkalarm for lagrede energiakkumulatorer. For elektriske systemer er det overvåkings- og alarmsystemer for strømforsyningen. Vanntette dører under skottdekket kan stenges fra broen og kan åpnes og lukkes fra lokalbetjeningsstasjon. Den sentrale betjeningskonsollen for vanntette dører, både i lasteskip og passasjerskip, ligger på broen. Denne konsollen er utstyrt med et diagram som viser plasseringen av hver dør, med visuelle indikatorer som viser om hver dør er åpen eller lukket.
Rødt lys
Et rødt lys indikerer at døren er helt åpen, og et grønt lys at den er helt lukket. Når døren er lukket eksternt, skal det røde lyset indikere mellomposisjonen ved å blinke.
Forskrifter krever også beskyttelse mot svikt: For skipets sikkerhet skal én enkelt elektrisk feil i kraftdriften eller kontrollsystemet til en kraftdrevet skyvevanntettdør ikke resultere i en lukket døråpning. Elektriske motorer, kretsløp, indikatorer og advarselssignaler er beskyttet mot inntrenging av vann, og tap av strømforsyning vil aktivere en lyd og en visuell alarm ved det sentrale betjeningspanelet. Et veldig viktig apparat på det sentrale betjeningspanelet er «hovedmodusbryteren», som har to moduser: «lokal kontroll» og «lukkede dører» (også kjent som bridge/fjernkontroll). «Lokal kontroll»-modusen gjør at enhver dør kan åpnes og lukkes lokalt etter bruk, av personen som går gjennom døren. Hvis bryteren plasseres i «dørene lukket»-modusen på broen, vil imidlertid noen av dørene som er åpne eller åpnes automatisk, bli lukket ved denne handlingen fra broen. SOLAS-regelverket krever at kraftdrevne vanntette dører skal kunne lukkes samtidig fra navigasjonsbroen på ikke mer enn 60 sekunder med skipet i oppreist stilling. Hver gang en dør lukkes eksternt med strøm, må det være en hørbar, tydelig alarm ved døren, og den må høres i minst 5, men ikke mer enn 10 sekunder før døren begynner å bevege seg og til døren er helt lukket. Som nevnt ovenfor, kan ikke dører eksternt åpnes fra broen, men «dører lukket»-modusen vil fortsatt tillate at en dør åpnes lokalt, for sikkerheten til en rømming. Døren vil imidlertid automatisk begynne å stenge når den lokale kontrollsaken frigjøres.
Fra tidligere dager har det vært en forståelse blant dekksoffiserer om at broen skulle ha generell kontroll over de vanntette dørene, og for å sikre at de alltid var stengt, holdt de hovedmodusbryteren i «dører lukket», dvs. i brokontroll. Det er ikke slik. SOLAS-regelverket sier: «Master-modus»-bryteren skal normalt være i «lokal kontroll»-modus. «Dører lukket»-modusen skal bare brukes i en nødsituasjon eller for testformål. Spesielt hensyn skal tas til påliteligheten til «hovedmodus»-bryteren. Når det gjelder lokal kontroll, skal hver vanntette dør kunne åpnes og lukkes med strømkraft fra begge sider av døren. Med skipet i oppreist stilling må lukketiden for dørene ikke være under 20 sekunder eller mer enn 40. Kontrollhåndtak skal være i en minimumshøyde på 1,6 meter over gulvet og skal være anordnet slik at personer som går gjennom døren, kan holde begge håndtakene i åpen stilling uten å sette stengemekanismen i drift ved et uhell.
Når en person skal gå igjennom døren ved bruk av «lokal kontroll», så må håndtaket aktiveres og døren åpnes helt opp, personen må ta tak i håndtaket på den andre siden av døren, holde denne i åpen stilling, før personen slipper det håndtaket som ble åpnet først. Etter at personen har passert gjennom den vanntette døråpningen, så skal den lukkes. Bevegelsesretningen til håndtakene for å åpne og lukke dørene skal være i retning av dørens bevegelse og skal være tydelig angitt. Hver dør skal også være utstyrt med en individuell håndbetjent mekanisme, slik at døren i nødstilfeller kan åpnes og lukkes manuelt ved selve døren, fra begge sider. I tillegg skal det være mulig å lukke vanntette dører i skott på passasjerskip med en håndbetjent mekanisme fra en tilgjengelig posisjon over skottdekket.
Denne plasseringen bør også ha tydelig indikasjon på at dørene er åpne eller lukkede. Tiden som er nødvendig for fullstendig lukking av døren med håndutstyr, må ikke overstige 90 sekunder med skipet i oppreist stilling.
Klasseselskapene kontrollerer alle vanntette dører før levering av skipene ved bygging. De kontrollerer alle vanntette dører ved årlig kontroll og ved klassingene (hvert 5. år). De vanntette dørene inngår i vedlikeholdssystemet til skipet (PMS). Mannskap skal ha opplæring i bruk av vanntette dører, og det skal være ukentlig øvelser.
Root cause analysis (RCA)
Den største årsaken til et problem kalles grunnårsaken. Undersøkelser av vanntette dører etter hendelser med personskader har avslørt at det har vært vanlig praksis om bord i skipet å ikke åpne dem helt før man har passert gjennom dørene. Dørens sikkerhetssystemer har også vist seg å ikke å være i fullt fungerende stand under inspeksjoner, og at noen dører ikke har blitt vedlikeholdt eller testet ordentlig. De fleste ulykker med mennesker skjer når dørene er i brokontroll: «dører lukket»-modus.
!!! bilde ""

Figur 0166 viser skottgjennomgang med rør i en vanntett avdeling, profil og planskisse for et passasjerskip. Et passasjerskip er en komplisert affære i planleggingsfasen: Her skal konstruksjon, regelverket og den daglige drift passe inn med hverandre for å oppnå tilstrekkelig sikkerhet.

Figur 0167
Figur 0167 viser et passasjerskip eller et Ro-pax-skip med fylling over og under skottdekket. En halv (semi) vanntett dør er en hengslet stålbranndør type A-60. Den skal i tillegg tåle en vannstand på 3,5 meter og er ment å gi positivt rettende moment (GZ). En lett vanntett dør er hengslet stål/aluminium med terser for lukking (en stor ters midt på) er som en normal vanntett dør med begrensninger på dypgående. En normal branndør tåler en vannstand på 2,5 meter og skal da bare slippe igjennom liten lekkasje. En forskjell er at disse dørene kan være åpne når skipet er underveis, og at disse ikke kan gi klemskade slik som kraftdrevne vanntette skyvedører gjør. Ved den mellomliggende krengevinkel beregnes Intermediate, og ved den endelige krengevinkel beregnes Sfinal (Si-faktor).

Watertight doors awareness (film laget av Assuranceforeningen Gard 16 min) https://www.gard.no/web/content/watertight-doors-awareness
DNV GL. (film laget av Gard AS og DNV GL)
SOLAS 2020
1. januar 2020 trådte en rekke tillegg til SOLAS-skadestabilitetsforskriften i kraft. Filosofien bak det probabilistiske konseptet er at to forskjellige skip med samme oppnådde A-indeks har samme sikkerhet, og at det derfor ikke er behov for spesiell behandling av spesifikke deler av skipet, selv om de er i stand til å overleve forskjellige skader. Målet for SOLAS 2009 var å oppnå samme sikkerhetsnivå som SOLAS 90. M/S Costa Concordia var bygget etter SOLAS 90-reglene og var i stand til å tåle fylling i to avdelinger, men fikk fylling i fem avdelinger. Til tross for dette så holdt skipet seg flytende i mange timer etter ulykkeshendelsen.
Flere forskningsprosjekter ble utført for å finne ut om skadestabilitetsforskriften var tilstrekkelig. Resultatet var at det basert på SOLAS 2009 ville være mulig å designe et skip som ikke overlever visse skadetilfeller og kan kantre og synke selv i rolig vann. Ulike forskningsprosjekter antydet ulike beregningsmetoder for R-indeksen for å heve skipets sikkerhetsnivå.

Figur 0168 R-indeks i SOLAS 2020 for passasjerskip.
Passasjerskip der det er mellom 1350 og 6000 personer om bord, er beregningsmetoden for R-indeksen som var godkjent i MSC-98 (2017). Beregningen for tilfellene hvor antall personer om bord er mindre enn 400 personer, er R-index en konstant, og deretter stiger opptil 1350 personer om bord følger R-indeksen som en lineær funksjon. Forskjell ifra SOLAS 2009 er: R-indeks er ikke avhengig av lengde, antall personer om bord er ikke lenger delt inn i N = N1 + 2N2. Der N1 = antall personer som det er plass til i livbåter. N2 = antall personer mer enn N1, inkludert offiserer og mannskap. Nå er det bare N (et nummer med antall passasjerer).
De største endringene i R-indeksen fra SOLAS 2009 til SOLAS 2020 skjer for passasjerskip med N <400 og skip med 700 <N <2000.
Oppnådd A-indeks: En annen behandling av A-indeksene når det blir beregnet for flere trim-nivåer. Den samlede oppnådde A-indeksen er basert på de minste A-verdiene beregnet for hvert dypgående.
Lasteskip med kryssfyllingsarrangement (utjevning): Krav til mellomliggende S (Sint). Her blir Sint = 0 hvis den mellomliggende krengevinkelen overstiger 30 grader. Samme formel som for passasjerskip benyttes.
RO-pax-skip: Økt utstrekning på GZ og på GZ max hvis skaden er i RO-RO-området. RO-pax er en ferge hvor RO-RO-fartøyets lastekapasitet kombineres med passasjerfergenes komfort. Passasjer- og lastekapasitet kan varieres etter behov. RO-pax-ferger er det som til vanlig kalles bilferger. RO-pax S final formel:
RO-pax S final formel
Sfinal,i = K $\cdot [\frac{GZ_{max}}{TGZ_{max}} \cdot \frac{Range}{TRange}]^\frac{1}{4}$
GZ max må ikke bli satt større enn TGZ max; utstrekning må ikke bli satt større enn Trange, TGZ max = 0,20 m, for RO-RO-passasjerskip for hver eneste skade i RO-RO-område. Trange (utstrekning) = 20 grader for RO-RO-passasjerskip for hver eneste skade i RO-RO-område. TGZ max = 0,12 m ellers, TRange (utstrekning) = 16 grader ellers.
Vanntette dører: Kategori «B»: En vanntett dør som kan åpnes i løpet av navigering i en periode når du arbeider i nærheten av en dør krever at den åpnes. Døren må være øyeblikkelig stengt når arbeidet er ferdig. Kategori «C»: En vanntett dør som skal lukkes under seilas, men kan åpnes for å tillate bevegelse av passasjerer eller mannskap. Døren må lukkes umiddelbart når transitten er fullført. Kategori «D»: En vanntett dør med en bredde på mer enn 1,2 m i maskinrom som skal forbli lukket under seilasen unntatt i de tilfeller i nød der det haster med å få transportert noe igjennom døren. Kategori «A»: Er ikke tillatt etter SOLAS 2020-reglene. Faktorer som begrenser bruk av vanntette dører: Visse driftsforhold, eller kombinasjoner av flere faktorer, bør nødvendiggjøre at vanntette dører i kategori B og C holdes lukket under seilas for å bevare overlevelsesevnen. Spesielt bør området der skipet opererer, kontinuerlig evalueres for tilknyttede risikoer med potensielt farlige forhold. Det anbefales at vanntette dører i kategori B og C holdes lukket under seilas mens skipet er i drift: i farvann med høy trafikktetthet, nær kystfarvann, i dårlig vær, under farlige isforhold, i farvann der ekkoloddskudd er upålitelig, i perioder med begrenset sikt, innenfor havneområder eller i områder der los er obligatorisk, når det er løse gjenstander i nærheten av en vanntett dør som potensielt kan hindre en vanntett dør i å bli lukket, og under alle forhold der kapteinen vurderer at de vanntette dørene skal holdes lukket. Disse reglene trådte i kraft 1. januar 2020 og vil nok kreve en stor holdningsendring for mannskapet på passasjerfartøyer.
Assurandørselskapene forventer en stor økning av klemskader på grunn av regelverket i SOLAS 2020. For passasjerskip med antall passasjerer under 400 vil det ikke være mulig at passasjerer oppholder seg under skottdekket (pga. restriksjoner til vanntette dører).
SOLAS 2020: Gjelder for byggekontrakter som er på plass på eller etter 1. januar 2020, i mangel av en byggekontrakt, hvis kjøl er lagt eller som er i et lignende byggetrinn 1. juli 2020 eller senere, eller leveringen er 1. januar 2024 eller senere. Det er flere endringer i SOLAS 2020 som ikke er omtalt her.
Forandring i konstruksjon for passasjerskipene

Figur 0169 Reduksjon av vanntette dører i lugaravdeling.
SOLAS 2020 vil innebære forandringer i konstruksjon for passasjerskip. Figur 0268 viser et typisk tidligere arrangement for lugarer i en avdeling (til venstre), som kunne innebære seks vanntette dører i en avdeling, men skissen til høyre viser et kompakt arrangement for lugarer der det kun benyttes én vanntett dør for to avdelinger.

Figur 0170 Laundry og linen store i et passasjerskip.
Laundry (vaskeri) og linen store (tørkeri/strykeri) har alltid vært plassert langt Ned i skipet, med plassering i hver sin avdeling og med en vanntett dør imellom. Det kan bli en del transport av vask i løpet av en dag, og etter 2020 så kan laundry og linen store bli i samme avdeling, men på to dekk.
SOLAS 2020 vil øke sikkerhetsnivået betydelig, noe som vil forandre på designet på skip. Det vil også øke forskjellene mellom «eksisterende skip» og skip bygget etter SOLAS 2020-reglene, noe som kan gi eldre skip en økonomisk fordel. Forskjellen mellom RO-pax- og passasjerskip vil fortsatt bli studert videre på, og nødvendighet av et ekte sikkerhetsnivå for passasjerskipene i form av målbare størrelser vil også bli viktig.
Skadekontrolløvelser (damage control drills)
SOLAS kapittel II-1 (skadestabilitet) og kapittel III (redningsredskaper): Krav om skadekontrolløvelser for passasjerskip trer i kraft 1. januar 2020, gjelder for alle passasjerskip (dvs. passasjerskip konstruert før, på eller etter 1. januar 2020).

Følgende krav gjelder: En skadekontrolløvelse skal finne sted minst hver tredje måned (av besetningsmedlemmer med skadekontrollansvar). Skadestabilitetsdatamaskinen om bord, hvis montert, skal brukes til å foreta stabilitetsvurderinger for de simulerte skadeforholdene. Etablering av kommunikasjonsforbindelsen mellom skipet og landbasert støtte, hvis dette er gitt. Minst én skadekontrolløvelse hvert år skal omfatte aktivering av landbasert støtte, for å utføre stabilitetsvurderinger for de simulerte skadeforholdene. Hver skadekontrolløvelse skal registreres behørig i loggboka. Endringen medfører at besetningsskadekontrolloppgaver blir lagt til i mønstringslisten.
Oppgaver til SOLAS kapittel 1
Oppgave 1.
-
Hva menes med Subdivision length (Ls)?
-
Hva menes med Deepest subdivision draught (ds)?
-
Hva menes med Light service draught (dl)?
-
Hva menes med Partial subdivision draught (dp)?
-
Hva menes med Permeability (μ)?
-
Hva er den Norske betegnelsen på Bulkhead deck?
Oppgave 2.
-
Hva menes med indeks «R»?
-
Hva menes med indeks «A»?
-
Hva sier kravene om størrelsesforholdet de to imellom?
Oppgave 3.
- Gi en kort forklaring om denne formelen: A = Σ pi si
Oppgave 4.
A = 0.4As + 0.4Ap + 0.2Al
- Hva menes med As, Ap og Al ovenfor?
Oppgave 5.
- Hva menes med θe og θv?
Oppgave 6.
- Hvilke permeability skal benyttes til de tre forskjellige dypganger for Dry cargoes spaces, Ro RO spaces, cargo Liquids?
Oppgave 7.
- Hva sier kapittel II-1 om WTD (vanntette dører) og øvelser? På passasjerfartøy.
Oppgave 8.
- Hva sier kapittel II-1 om Water level detektors singel hold cargo ships other than bulk carriers?

